🇳🇴 🇬🇧 🇩🇪 🇨🇿 🇫🇮

Meteor, poloha: Töcksfors 2020-08-14 00:33:19 UTC

Soubor KML  |  InteraktivnĂ­ mapa

Mapa zobrazuje dráhy meteoru. Světlejší čáry ukazují směry od pozorovacích stanic při objevení se meteoru a tmavší čáry, kde byl naposledy viděn. Modrá šipka značí viditelnou dráhu meteoru.

static map
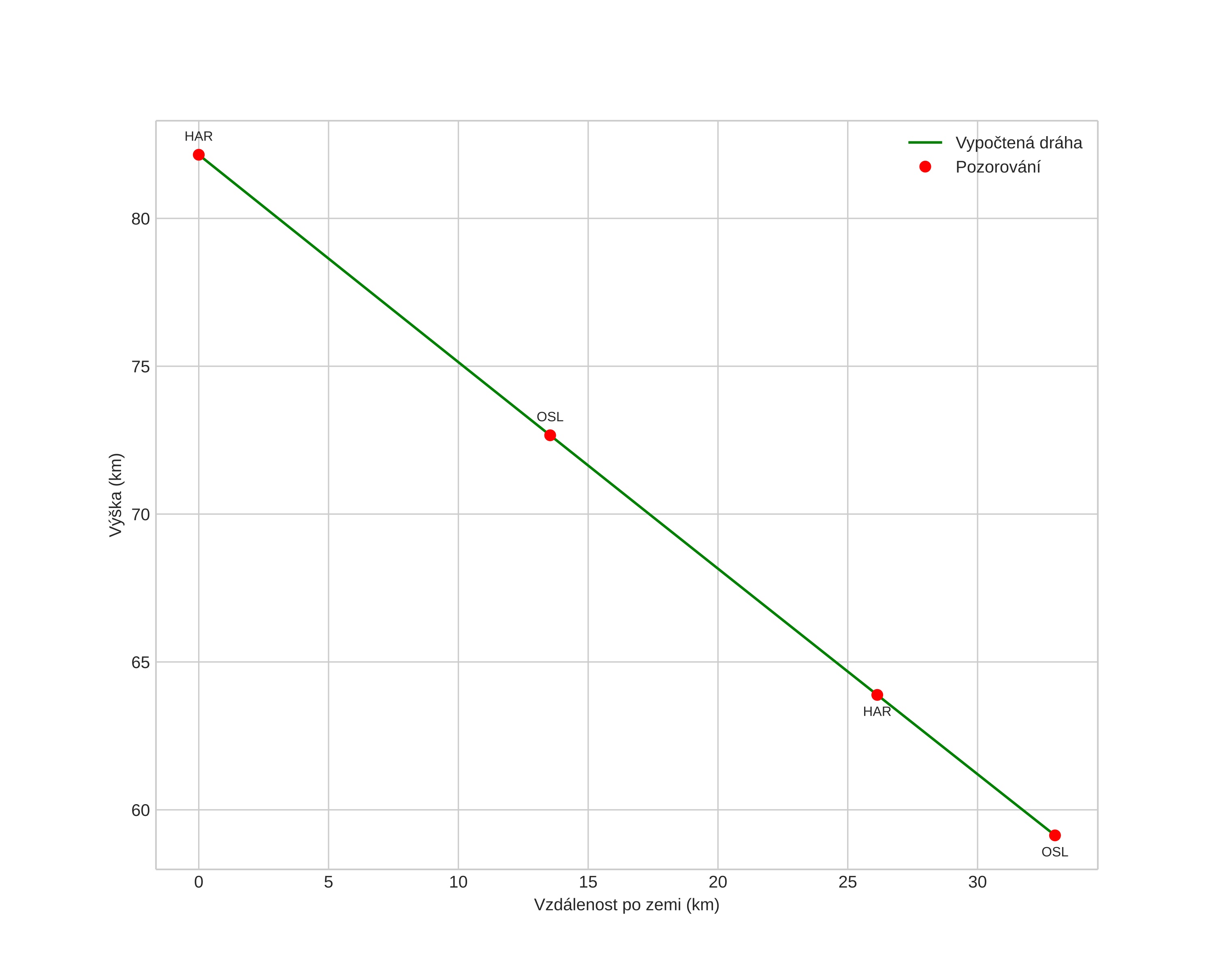
height profile
Atmosférická dráha meteoru:
Počáteční výška: 123,2 km
Konečná výška: 75,3 km
Počáteční poloha: 59,252N 12,786E
Konečná poloha: 59,387N 11,819E
Směr: 285,7°
Sklon: 40,1°
VstupnĂ­ rychlost: 89,7 km/s
Rektascenze radiantu: 02:36 (39,0°)
Deklinace radiantu: 26,3°
MeteorickĂ˝ roj: sporadickĂ˝
Elementy dráhy meteoroidu:
Vzdálenost v periheliu: 0,994 AU
Excentricita: 3,131
Sklon dráhy: 164,2°
Délka vzestupného uzlu: 141,4°
Argument perihelia: 192,8°
Střední anomálie: -19,9°
Epocha: 2020 AUG 14 00:33:19
orbit plot

NeinteraktivnĂ­ graf | InteraktivnĂ­ graf

position vs time
speed and acceleration