🇳🇴 🇬🇧 🇩🇪 🇨🇿 🇫🇮

Meteor, poloha: Harboøre 2020-08-14 02:04:18 UTC

Soubor KML  |  InteraktivnĂ­ mapa

Mapa zobrazuje dráhy meteoru. Světlejší čáry ukazují směry od pozorovacích stanic při objevení se meteoru a tmavší čáry, kde byl naposledy viděn. Modrá šipka značí viditelnou dráhu meteoru.

static map
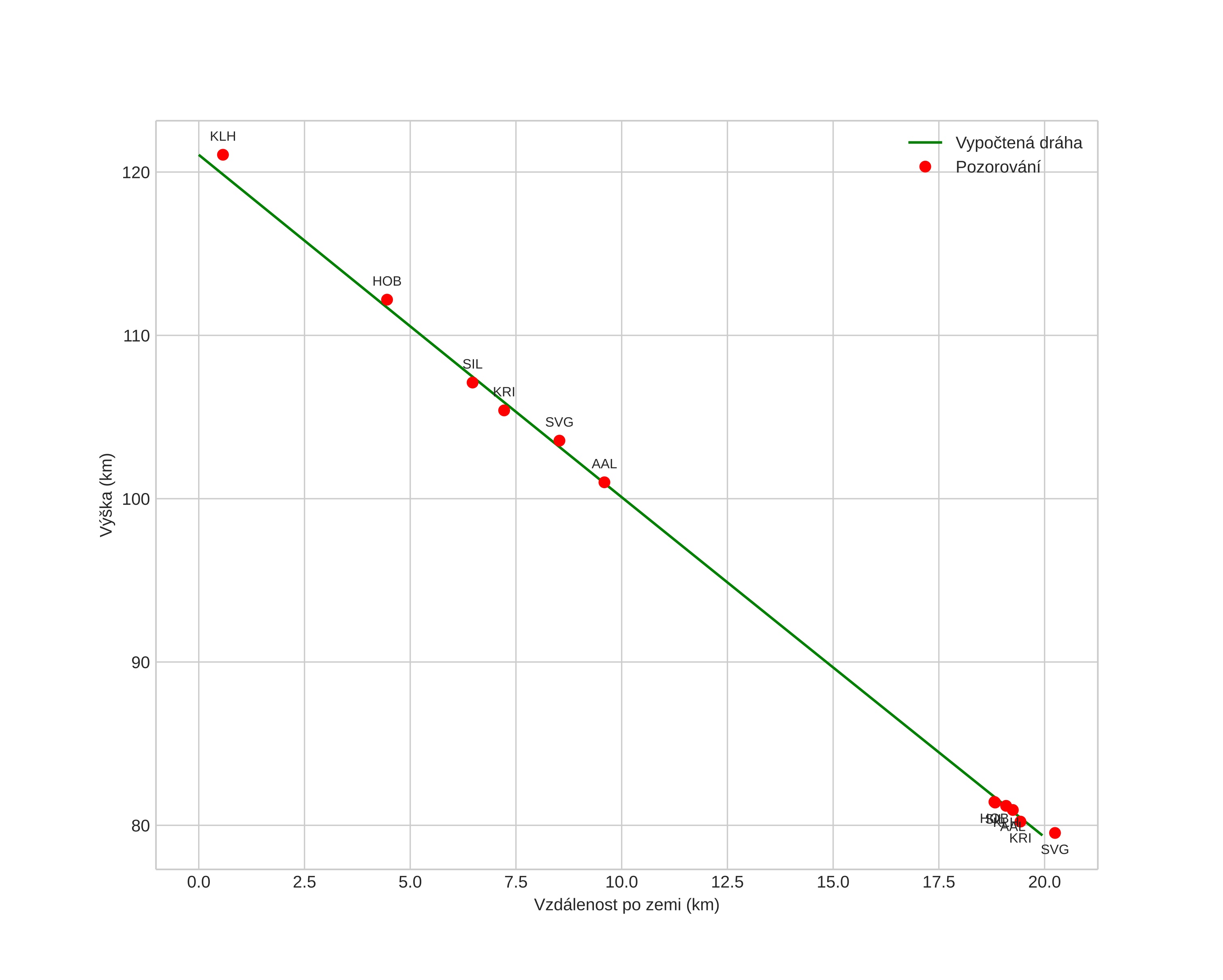
height profile
Atmosférická dráha meteoru:
Počáteční výška: 121,3 km
Konečná výška: 79,9 km
Počáteční poloha: 56,699N 8,333E
Konečná poloha: 56,619N 8,042E
Směr: 243,6°
Sklon: 64,4°
VstupnĂ­ rychlost: 60,5 km/s
Rektascenze radiantu: 03:24 (51,0°)
Deklinace radiantu: 59,1°
MeteorickĂ˝ roj: Perseidy
Elementy dráhy meteoroidu:
Vzdálenost v periheliu: 0,944 AU
Excentricita: 1,000
Sklon dráhy: 112,4°
Délka vzestupného uzlu: 141,5°
Argument perihelia: 149,9°
Střední anomálie: 0,0°
Epocha: 2020 AUG 14 02:04:18
orbit plot

NeinteraktivnĂ­ graf | InteraktivnĂ­ graf

position vs time
speed and acceleration