🇳🇴 🇬🇧 🇩🇪 🇨🇿 🇫🇮

Meteor, poloha: Flå 2020-08-23 23:01:56 UTC

Larvik – 1
Larvik – 1
Voksenlia – 3
Voksenlia – 3

Soubor KML  | Interaktivní mapa

map

Mapa zobrazuje dráhy meteoru. Světlejší čáry ukazují směry od pozorovacích stanic při objevení se meteoru a tmavší čáry, kde byl naposledy viděn. Modrá šipka značí viditelnou dráhu meteoru.

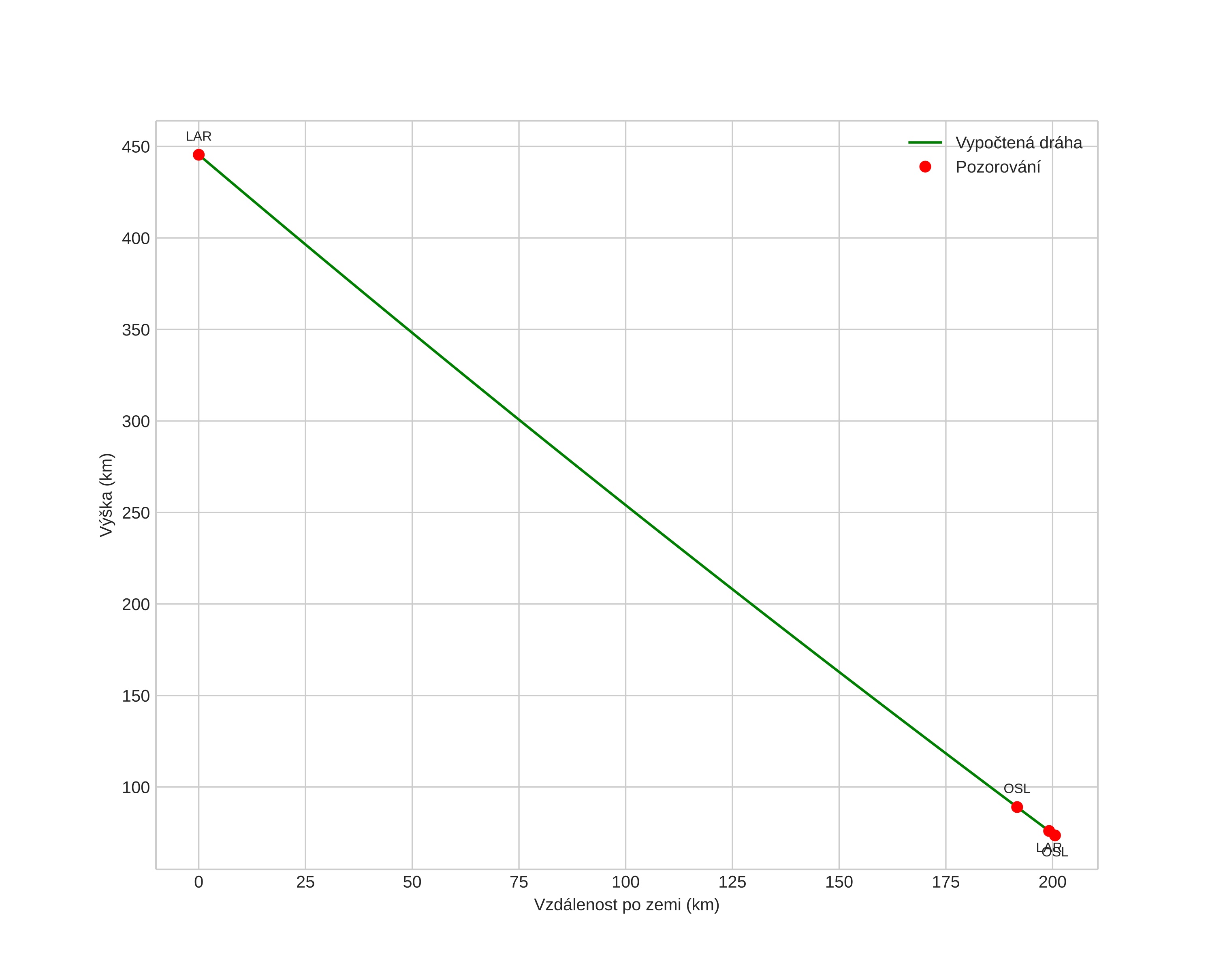
height profile
Atmosférická dráha meteoru:
Počáteční výška: 91,8 km
Konečná výška: 68,9 km
Počáteční poloha: 60,488N 9,455E
Konečná poloha: 60,435N 9,658E
Směr: 117,8°
Sklon: 61,2°
Vstupní rychlost: 22,8 km/s
Rektascenze radiantu: 17:30 (262,6°)
Deklinace radiantu: 59,3°
Meteorický roj: sporadický
Elementy dráhy meteoroidu:
Vzdálenost v periheliu: 1,011 AU
Excentricita: 0,633
Sklon dráhy: 31,6°
Délka vzestupného uzlu: 151,0°
Argument perihelia: 181,6°
Střední anomálie: 359,7°
Epocha: 2020 AUG 23 23:01:56
orbit

Neinteraktivní graf | Interaktivní graf

position vs time
speed & acceleration