🇳🇴 🇬🇧 🇩🇪 🇨🇿 🇫🇮

Meteor, poloha: Kinsarvik 2020-08-25 01:30:43 UTC

Soubor KML  |  InteraktivnĂ­ mapa

Mapa zobrazuje dráhy meteoru. Světlejší čáry ukazují směry od pozorovacích stanic při objevení se meteoru a tmavší čáry, kde byl naposledy viděn. Modrá šipka značí viditelnou dráhu meteoru.

static map
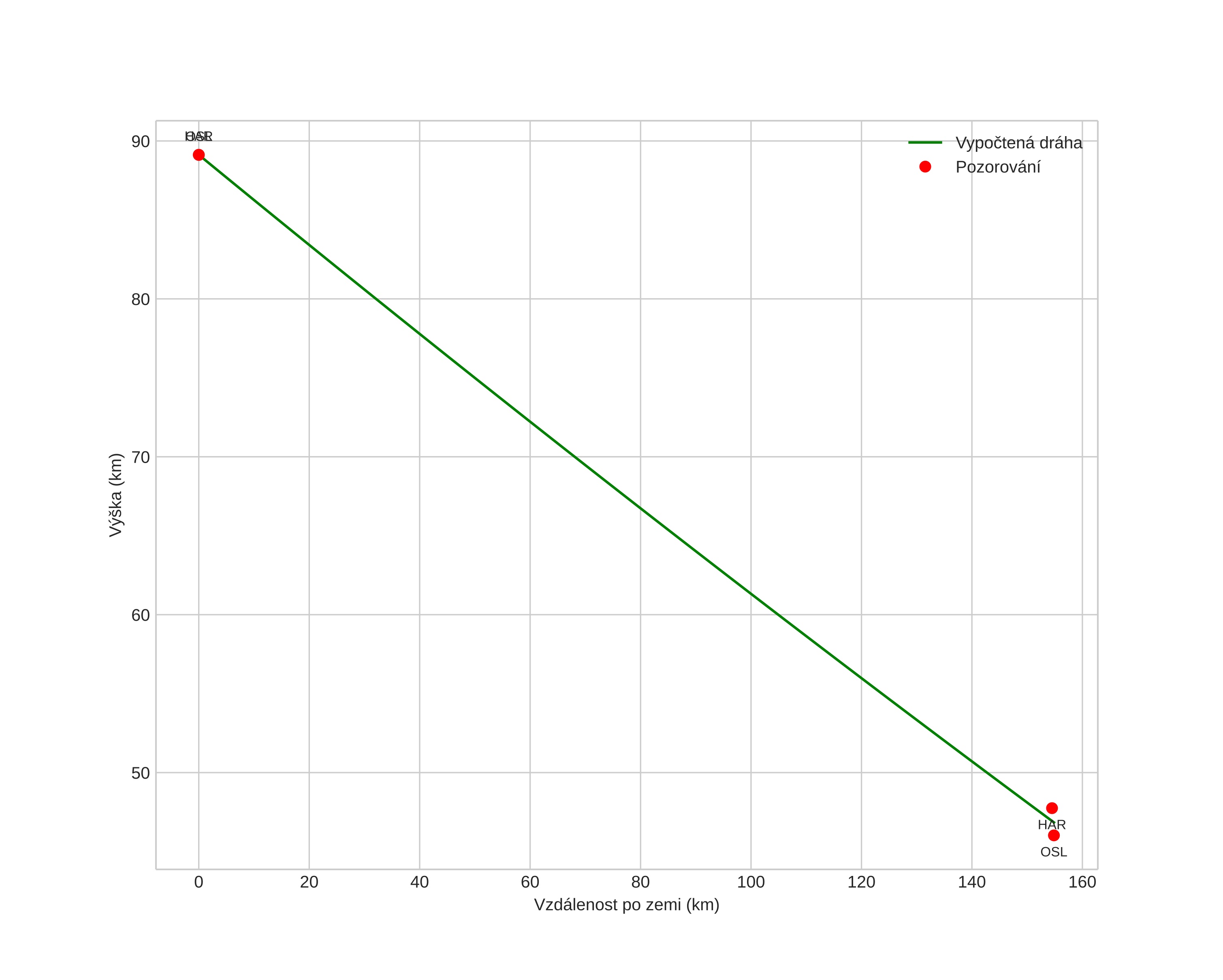
height profile
Atmosférická dráha meteoru:
Počáteční výška: 55,0 km
Konečná výška: 47,1 km
Počáteční poloha: 60,069N 6,337E
Konečná poloha: 60,250N 6,730E
Směr: 47,0°
Sklon: 14,9°
VstupnĂ­ rychlost: 14,6 km/s
Rektascenze radiantu: 20:36 (309,2°)
Deklinace radiantu: -22,9°
MeteorickĂ˝ roj: sporadickĂ˝
Elementy dráhy meteoroidu:
Vzdálenost v periheliu: 0,900 AU
Excentricita: 0,456
Sklon dráhy: 1,2°
Délka vzestupného uzlu: 332,0°
Argument perihelia: 49,5°
Střední anomálie: 342,2°
Epocha: 2020 AUG 25 01:30:43
orbit plot

NeinteraktivnĂ­ graf | InteraktivnĂ­ graf

position vs time
speed and acceleration