🇳🇴 🇬🇧 🇩🇪 🇨🇿 🇫🇮

Meteor, poloha: Harboøre 2020-08-29 20:59:47 UTC

Soubor KML  |  InteraktivnĂ­ mapa

Mapa zobrazuje dráhy meteoru. Světlejší čáry ukazují směry od pozorovacích stanic při objevení se meteoru a tmavší čáry, kde byl naposledy viděn. Modrá šipka značí viditelnou dráhu meteoru.

static map
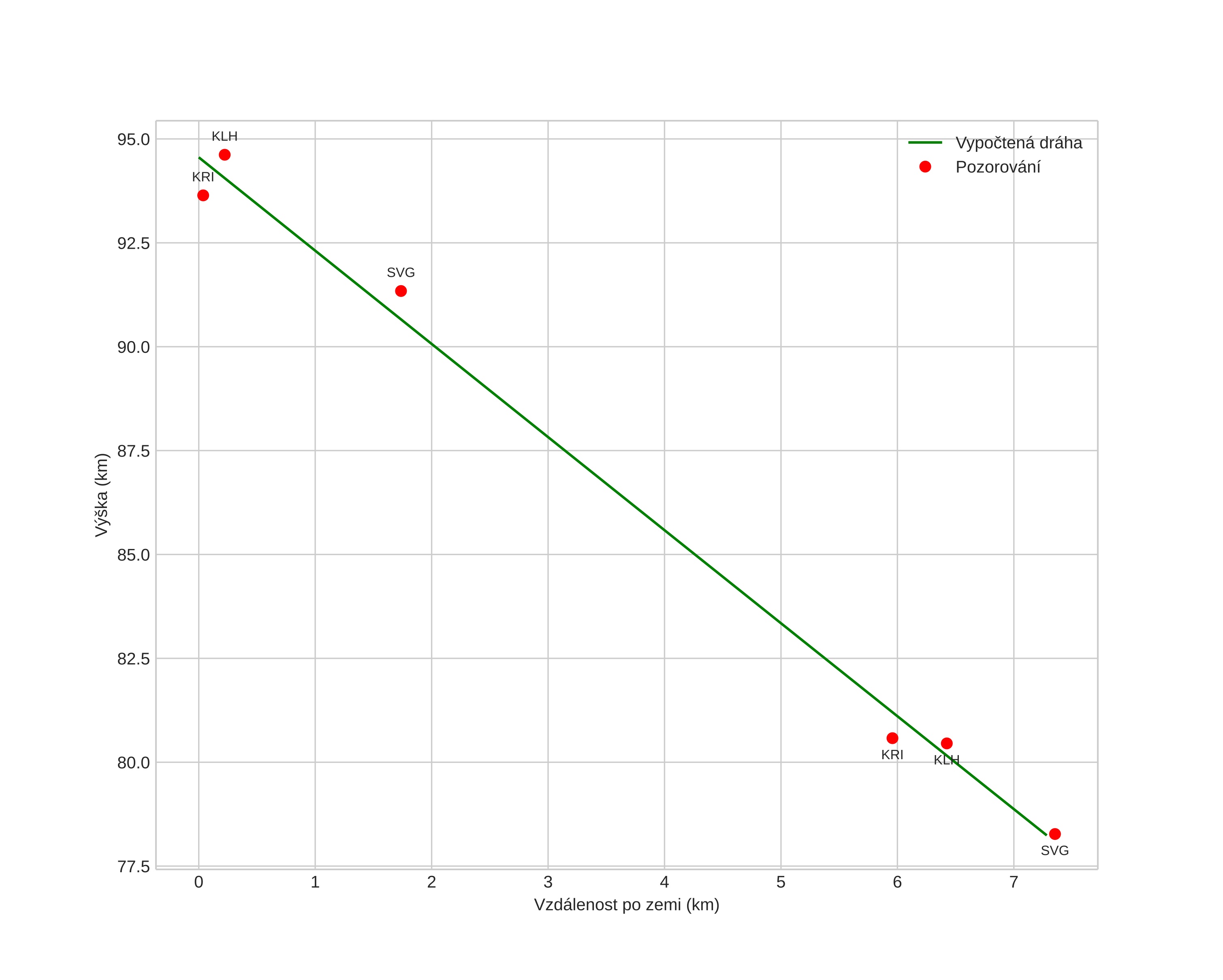
height profile
Atmosférická dráha meteoru:
Počáteční výška: 95,0 km
Konečná výška: 78,6 km
Počáteční poloha: 56,534N 8,125E
Konečná poloha: 56,553N 8,017E
Směr: 287,8°
Sklon: 67,0°
VstupnĂ­ rychlost: 34,0 km/s
Rektascenze radiantu: 22:11 (332,8°)
Deklinace radiantu: 44,1°
MeteorickĂ˝ roj: sporadickĂ˝
Elementy dráhy meteoroidu:
Vzdálenost v periheliu: 0,709 AU
Excentricita: 0,776
Sklon dráhy: 48,1°
Délka vzestupného uzlu: 156,7°
Argument perihelia: 251,4°
Střední anomálie: 352,7°
Epocha: 2020 AUG 29 20:59:47
orbit plot

NeinteraktivnĂ­ graf | InteraktivnĂ­ graf

position vs time
speed and acceleration