🇳🇴 🇬🇧 🇩🇪 🇨🇿 🇫🇮

Meteor, poloha: Birketveit 2020-08-30 00:25:03 UTC

Soubor KML  |  InteraktivnĂ­ mapa

Mapa zobrazuje dráhy meteoru. Světlejší čáry ukazují směry od pozorovacích stanic při objevení se meteoru a tmavší čáry, kde byl naposledy viděn. Modrá šipka značí viditelnou dráhu meteoru.

static map
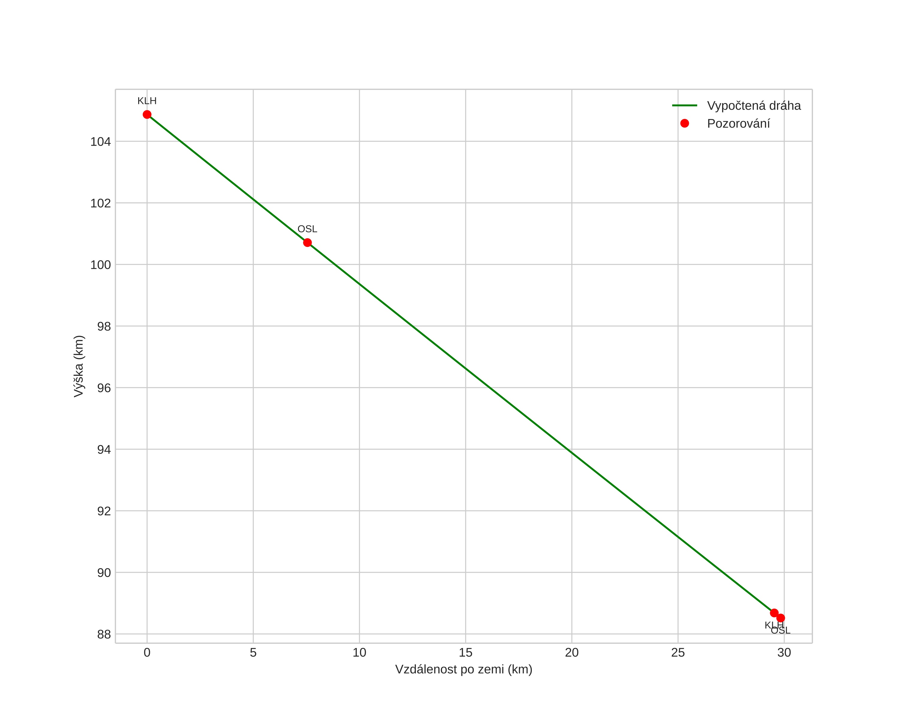
height profile
Atmosférická dráha meteoru:
Počáteční výška: 104,7 km
Konečná výška: 88,3 km
Počáteční poloha: 58,272N 8,279E
Konečná poloha: 58,462N 7,909E
Směr: 314,6°
Sklon: 28,5°
VstupnĂ­ rychlost: 64,2 km/s
Rektascenze radiantu: 02:06 (31,7°)
Deklinace radiantu: 4,1°
MeteorickĂ˝ roj: sporadickĂ˝
Elementy dráhy meteoroidu:
Vzdálenost v periheliu: 0,297 AU
Excentricita: 1,046
Sklon dráhy: 156,9°
Délka vzestupného uzlu: 336,8°
Argument perihelia: 112,3°
Střední anomálie: -2,2°
Epocha: 2020 AUG 30 00:25:03
orbit plot

NeinteraktivnĂ­ graf | InteraktivnĂ­ graf

position vs time
speed and acceleration