🇳🇴 🇬🇧 🇩🇪 🇨🇿 🇫🇮

Meteor, poloha: Ed 2020-08-31 01:03:05 UTC

Soubor KML  |  InteraktivnĂ­ mapa

Mapa zobrazuje dráhy meteoru. Světlejší čáry ukazují směry od pozorovacích stanic při objevení se meteoru a tmavší čáry, kde byl naposledy viděn. Modrá šipka značí viditelnou dráhu meteoru.

static map
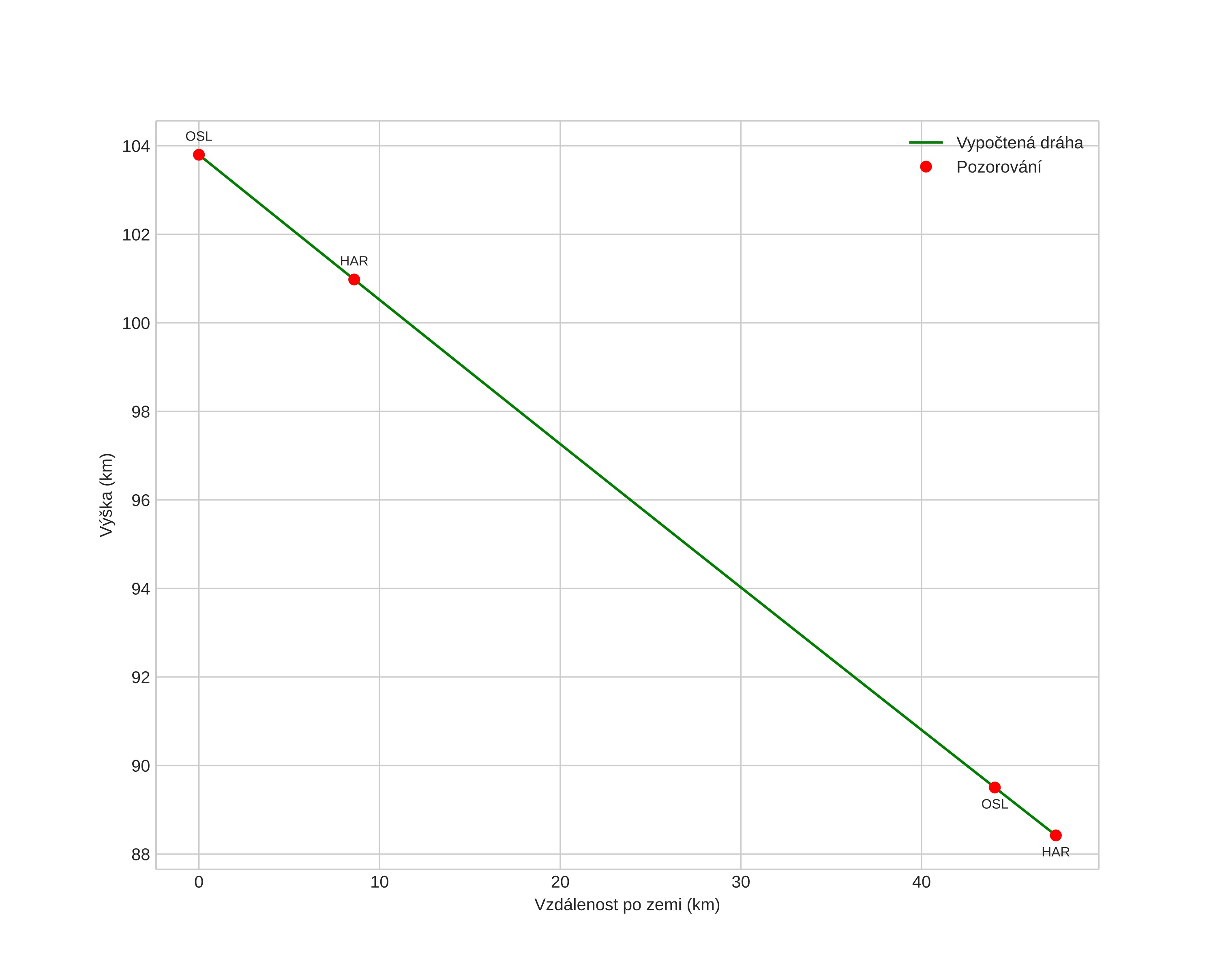
height profile
Atmosférická dráha meteoru:
Počáteční výška: 108,1 km
Konečná výška: 93,3 km
Počáteční poloha: 58,685N 12,306E
Konečná poloha: 58,915N 11,676E
Směr: 305,5°
Sklon: 18,4°
VstupnĂ­ rychlost: 64,0 km/s
Rektascenze radiantu: 03:52 (58,1°)
Deklinace radiantu: -1,6°
MeteorickĂ˝ roj: sporadickĂ˝
Elementy dráhy meteoroidu:
Vzdálenost v periheliu: 0,868 AU
Excentricita: 0,705
Sklon dráhy: 140,6°
Délka vzestupného uzlu: 337,8°
Argument perihelia: 48,5°
Střední anomálie: 353,4°
Epocha: 2020 AUG 31 01:03:05
orbit plot

NeinteraktivnĂ­ graf | InteraktivnĂ­ graf

position vs time
speed and acceleration