🇳🇴 🇬🇧 🇩🇪 🇨🇿 🇫🇮

Meteor, poloha: Seljord 2020-08-31 21:39:33 UTC

Soubor KML  |  InteraktivnĂ­ mapa

Mapa zobrazuje dráhy meteoru. Světlejší čáry ukazují směry od pozorovacích stanic při objevení se meteoru a tmavší čáry, kde byl naposledy viděn. Modrá šipka značí viditelnou dráhu meteoru.

static map
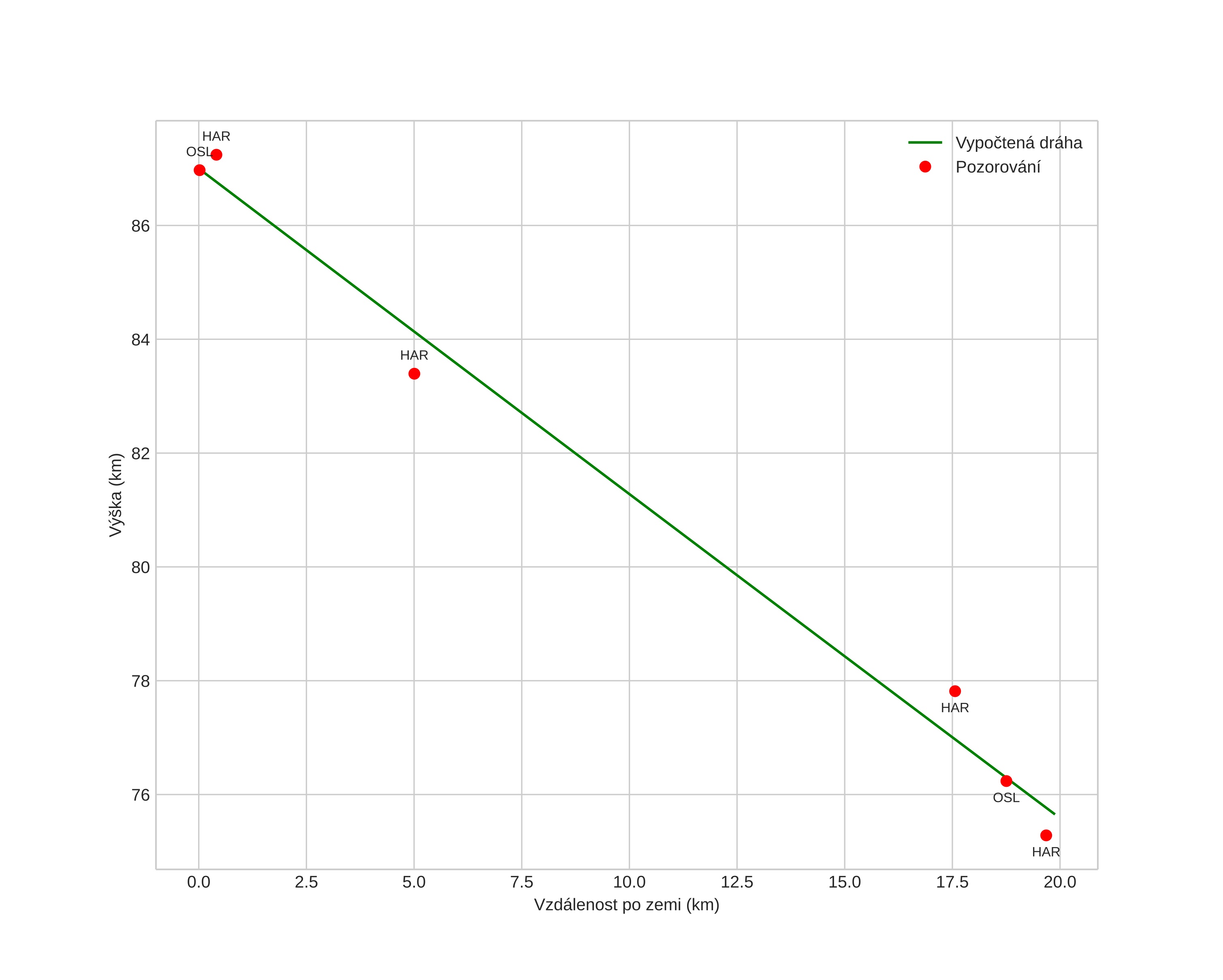
height profile
Atmosférická dráha meteoru:
Počáteční výška: 89,4 km
Konečná výška: 77,2 km
Počáteční poloha: 59,065N 8,932E
Konečná poloha: 59,273N 8,748E
Směr: 335,7°
Sklon: 25,6°
VstupnĂ­ rychlost: 20,8 km/s
Rektascenze radiantu: 22:25 (336,4°)
Deklinace radiantu: -9,1°
MeteorickĂ˝ roj: sporadickĂ˝
Elementy dráhy meteoroidu:
Vzdálenost v periheliu: 0,663 AU
Excentricita: 0,627
Sklon dráhy: 0,4°
Délka vzestupného uzlu: 158,8°
Argument perihelia: 263,5°
Střední anomálie: 339,7°
Epocha: 2020 AUG 31 21:39:33
orbit plot

NeinteraktivnĂ­ graf | InteraktivnĂ­ graf

position vs time
speed and acceleration