🇳🇴 🇬🇧 🇩🇪 🇨🇿 🇫🇮

Meteor, poloha: Fossbergom 2020-09-01 20:18:32 UTC

Soubor KML  |  InteraktivnĂ­ mapa

Mapa zobrazuje dráhy meteoru. Světlejší čáry ukazují směry od pozorovacích stanic při objevení se meteoru a tmavší čáry, kde byl naposledy viděn. Modrá šipka značí viditelnou dráhu meteoru.

static map
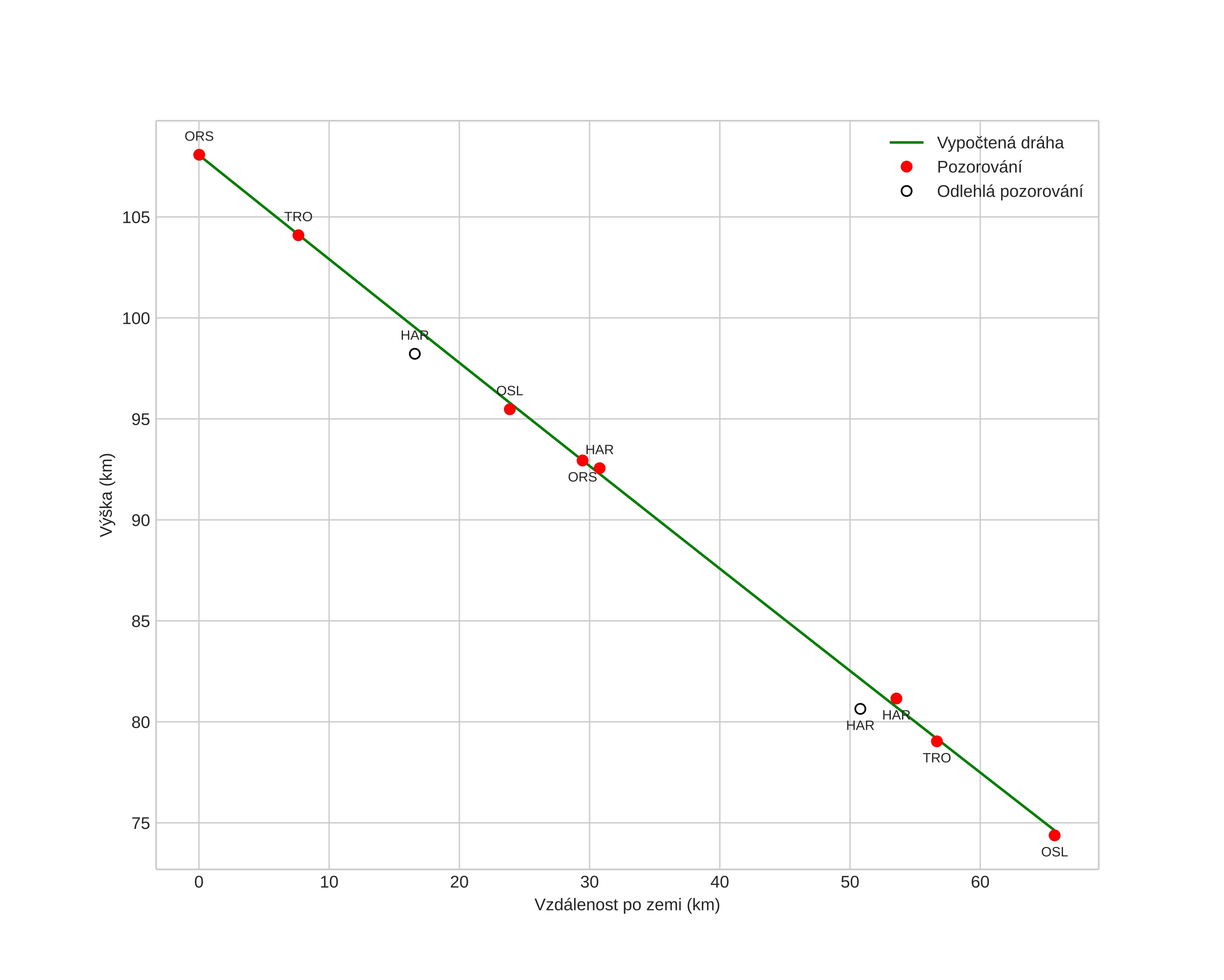
height profile
Atmosférická dráha meteoru:
Počáteční výška: 107,0 km
Konečná výška: 78,0 km
Počáteční poloha: 61,966N 8,384E
Konečná poloha: 61,491N 8,772E
Směr: 158,7°
Sklon: 27,1°
VstupnĂ­ rychlost: 48,5 km/s
Rektascenze radiantu: 09:44 (146,0°)
Deklinace radiantu: 51,5°
MeteorickĂ˝ roj: sporadickĂ˝
Elementy dráhy meteoroidu:
Vzdálenost v periheliu: 0,468 AU
Excentricita: 1,092
Sklon dráhy: 69,8°
Délka vzestupného uzlu: 159,6°
Argument perihelia: 88,4°
Střední anomálie: 3,2°
Epocha: 2020 SEP 01 20:18:32
orbit plot

NeinteraktivnĂ­ graf | InteraktivnĂ­ graf

position vs time
speed and acceleration