🇳🇴 🇬🇧 🇩🇪 🇨🇿 🇫🇮

Meteor, poloha: Bruhagen 2020-09-01 21:07:32 UTC

Soubor KML  |  InteraktivnĂ­ mapa

Mapa zobrazuje dráhy meteoru. Světlejší čáry ukazují směry od pozorovacích stanic při objevení se meteoru a tmavší čáry, kde byl naposledy viděn. Modrá šipka značí viditelnou dráhu meteoru.

static map
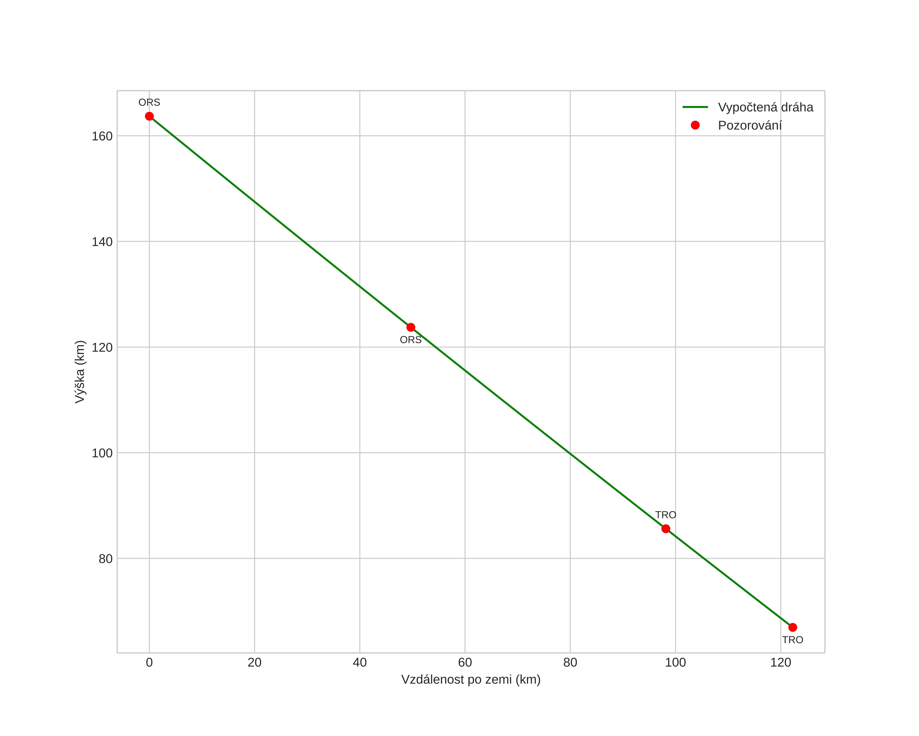
height profile
Atmosférická dráha meteoru:
Počáteční výška: 162,3 km
Konečná výška: 67,0 km
Počáteční poloha: 62,174N 8,963E
Konečná poloha: 63,044N 7,550E
Směr: 323,8°
Sklon: 38,3°
VstupnĂ­ rychlost: 30,9 km/s
Rektascenze radiantu: 22:22 (335,7°)
Deklinace radiantu: 12,7°
MeteorickĂ˝ roj: sporadickĂ˝
Elementy dráhy meteoroidu:
Vzdálenost v periheliu: 0,535 AU
Excentricita: 0,929
Sklon dráhy: 20,3°
Délka vzestupného uzlu: 159,6°
Argument perihelia: 268,6°
Střední anomálie: 358,0°
Epocha: 2020 SEP 01 21:07:32
orbit plot

NeinteraktivnĂ­ graf | InteraktivnĂ­ graf

position vs time
speed and acceleration