🇳🇴 🇬🇧 🇩🇪 🇨🇿 🇫🇮

Meteor, poloha: Kviteseid 2020-09-06 20:21:36 UTC

Soubor KML  |  InteraktivnĂ­ mapa

Mapa zobrazuje dráhy meteoru. Světlejší čáry ukazují směry od pozorovacích stanic při objevení se meteoru a tmavší čáry, kde byl naposledy viděn. Modrá šipka značí viditelnou dráhu meteoru.

static map
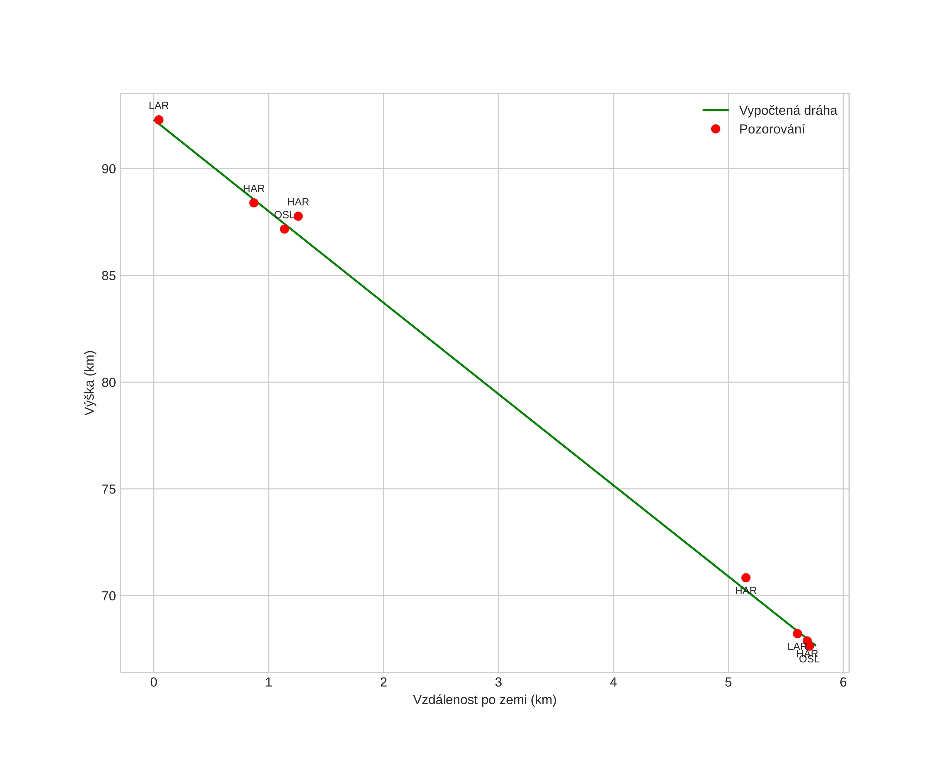
height profile
Atmosférická dráha meteoru:
Počáteční výška: 101,0 km
Konečná výška: 67,3 km
Počáteční poloha: 59,298N 8,252E
Konečná poloha: 59,313N 8,374E
Směr: 76,6°
Sklon: 78,0°
VstupnĂ­ rychlost: 21,2 km/s
Rektascenze radiantu: 18:27 (277,0°)
Deklinace radiantu: 53,9°
MeteorickĂ˝ roj: sporadickĂ˝
Elementy dráhy meteoroidu:
Vzdálenost v periheliu: 1,001 AU
Excentricita: 0,600
Sklon dráhy: 28,2°
Délka vzestupného uzlu: 164,4°
Argument perihelia: 191,2°
Střední anomálie: 357,8°
Epocha: 2020 SEP 06 20:21:36
orbit plot

NeinteraktivnĂ­ graf | InteraktivnĂ­ graf

position vs time
speed and acceleration