🇳🇴 🇬🇧 🇩🇪 🇨🇿 🇫🇮

Meteor, poloha: Ulefoss 2020-09-10 01:43:51 UTC

Soubor KML  |  InteraktivnĂ­ mapa

Mapa zobrazuje dráhy meteoru. Světlejší čáry ukazují směry od pozorovacích stanic při objevení se meteoru a tmavší čáry, kde byl naposledy viděn. Modrá šipka značí viditelnou dráhu meteoru.

static map
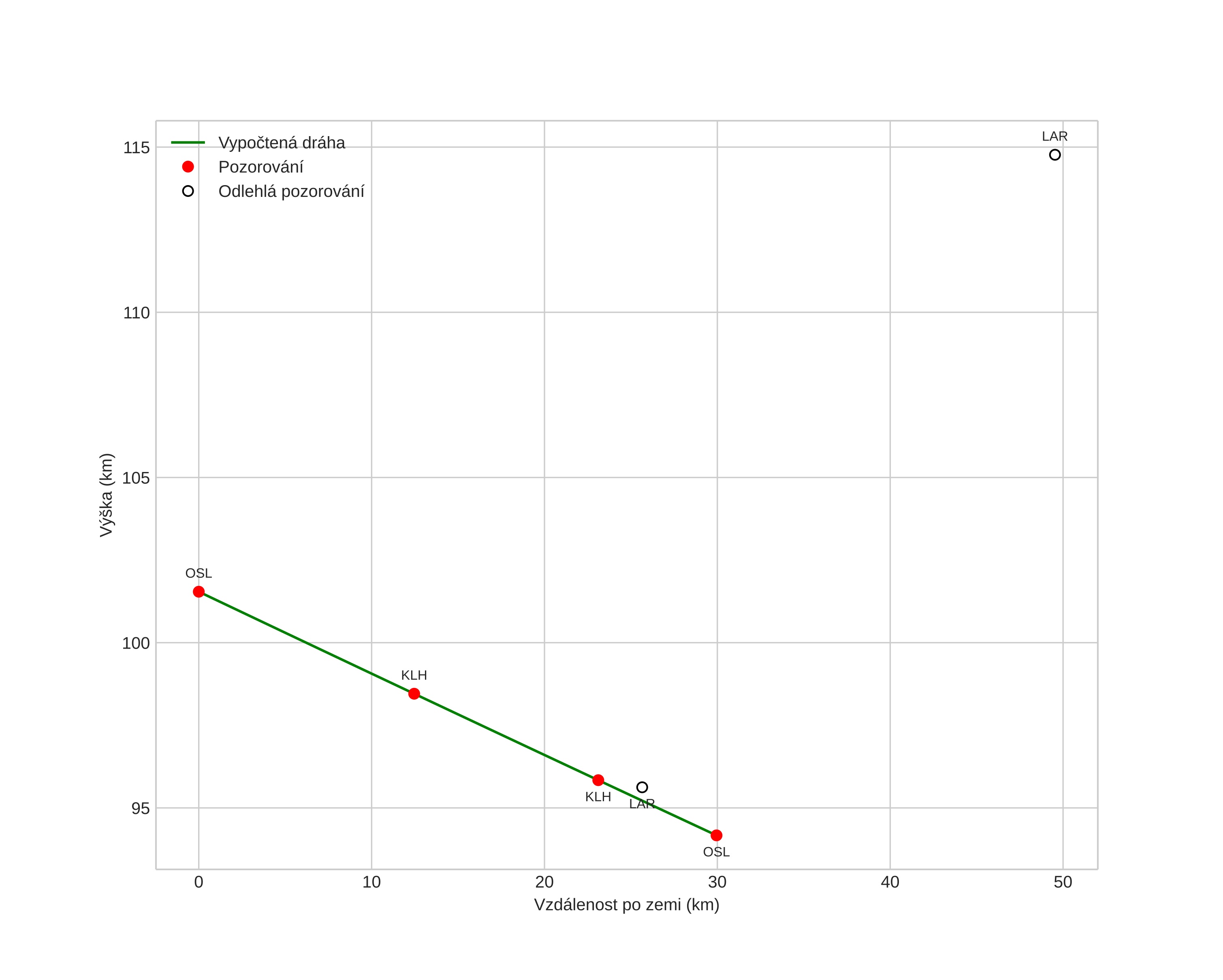
height profile
Atmosférická dráha meteoru:
Počáteční výška: 105,8 km
Konečná výška: 94,4 km
Počáteční poloha: 59,341N 10,104E
Konečná poloha: 59,351N 9,297E
Směr: 271,8°
Sklon: 14,0°
VstupnĂ­ rychlost: 65,3 km/s
Rektascenze radiantu: 07:07 (106,8°)
Deklinace radiantu: 10,6°
MeteorickĂ˝ roj: sporadickĂ˝
Elementy dráhy meteoroidu:
Vzdálenost v periheliu: 0,465 AU
Excentricita: 0,981
Sklon dráhy: 152,4°
Délka vzestupného uzlu: 347,5°
Argument perihelia: 265,0°
Střední anomálie: 0,3°
Epocha: 2020 SEP 10 01:43:51
orbit plot

NeinteraktivnĂ­ graf | InteraktivnĂ­ graf

position vs time
speed and acceleration