🇳🇴 🇬🇧 🇩🇪 🇨🇿 🇫🇮

Meteor Vigrestadin yllä 2020-09-17 01:56:16 UTC

KML-tiedosto  |  Interaktiivinen kartta

Kartta näyttää meteorin suuntahavainnot. Vaaleammat viivat näyttävät suunnat havaintoasemilta meteorin ilmestyessä, ja tummemmat viivat näyttävät, missä se viimeksi nähtiin. Sininen nuoli näyttää meteorin näkyvän lennon.

static map
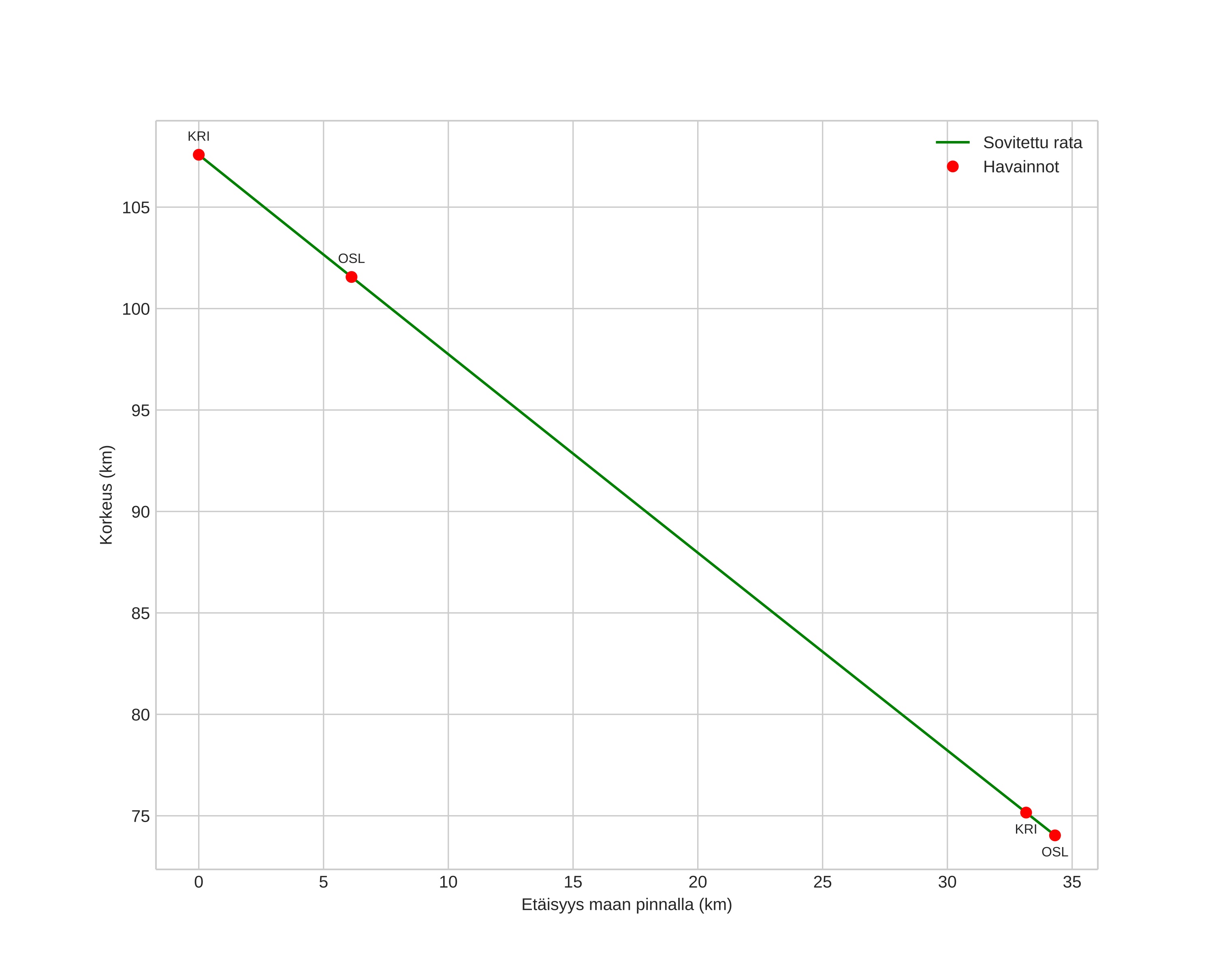
height profile
Meteorin ilmakehärata:
Alkukorkeus: 107,9 km
Loppukorkeus: 75,7 km
Alkupiste: 57,345N 5,219E
Loppupiste: 57,596N 4,927E
Suunta: 328,1°
Kallistuskulma: 44,4°
Tulonopeus: 65,4 km/s
Radiantin R,A,: 03:33 (53,3°)
Radiantin Dekl,: 14,7°
Meteoriparvi: Sporadinen
Meteoroidin rataelementit:
Perihelietäisyys: 0,400 AU
Eksentrisyys: 0,992
Inklinaatio: 169,3°
Nousevan solmun pituus: 354,4°
Perihelin argumentti: 102,1°
Keskianomalia: 359,9°
Epookki: 2020 SEP 17 01:56:16
orbit plot

Ei-interaktiivinen kuvaaja | Interaktiivinen kuvaaja

position vs time
speed and acceleration