🇳🇴 🇬🇧 🇩🇪 🇨🇿 🇫🇮

Meteor, poloha: Dokka 2020-09-18 23:58:19 UTC

Soubor KML  |  InteraktivnĂ­ mapa

Mapa zobrazuje dráhy meteoru. Světlejší čáry ukazují směry od pozorovacích stanic při objevení se meteoru a tmavší čáry, kde byl naposledy viděn. Modrá šipka značí viditelnou dráhu meteoru.

static map
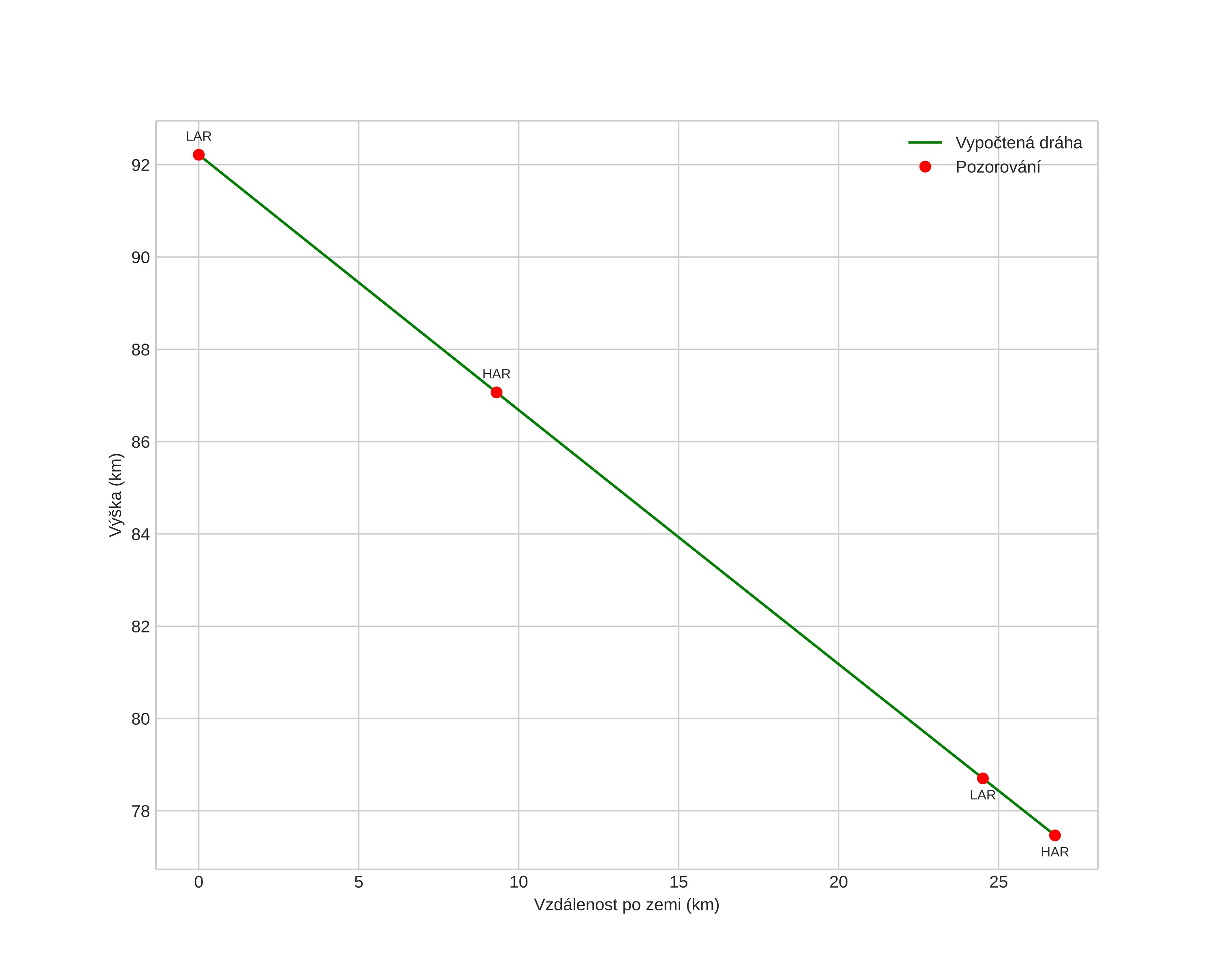
height profile
Atmosférická dráha meteoru:
Počáteční výška: 94,4 km
Konečná výška: 77,6 km
Počáteční poloha: 60,332N 9,698E
Konečná poloha: 60,641N 9,833E
Směr: 12,1°
Sklon: 25,6°
VstupnĂ­ rychlost: 26,1 km/s
Rektascenze radiantu: 23:41 (355,5°)
Deklinace radiantu: -7,2°
MeteorickĂ˝ roj: sporadickĂ˝
Elementy dráhy meteoroidu:
Vzdálenost v periheliu: 0,594 AU
Excentricita: 0,849
Sklon dráhy: 3,7°
Délka vzestupného uzlu: 356,2°
Argument perihelia: 83,7°
Střední anomálie: 354,7°
Epocha: 2020 SEP 18 23:58:19
orbit plot

NeinteraktivnĂ­ graf | InteraktivnĂ­ graf

position vs time
speed and acceleration