🇳🇴 🇬🇧 🇩🇪 🇨🇿 🇫🇮

Meteor, poloha: Hvittingfoss 2020-09-19 19:28:35 UTC

Soubor KML  |  InteraktivnĂ­ mapa

Mapa zobrazuje dráhy meteoru. Světlejší čáry ukazují směry od pozorovacích stanic při objevení se meteoru a tmavší čáry, kde byl naposledy viděn. Modrá šipka značí viditelnou dráhu meteoru.

static map
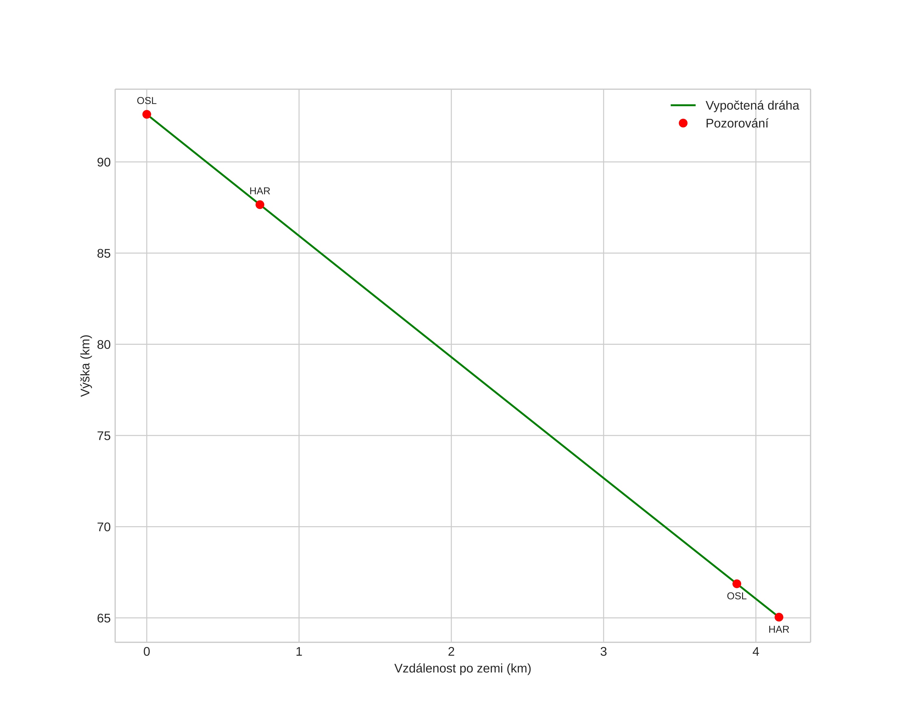
height profile
Atmosférická dráha meteoru:
Počáteční výška: 90,8 km
Konečná výška: 60,1 km
Počáteční poloha: 59,304N 9,961E
Konečná poloha: 59,390N 10,027E
Směr: 21,1°
Sklon: 71,5°
VstupnĂ­ rychlost: 20,0 km/s
Rektascenze radiantu: 19:22 (290,7°)
Deklinace radiantu: 39,7°
MeteorickĂ˝ roj: sporadickĂ˝
Elementy dráhy meteoroidu:
Vzdálenost v periheliu: 0,983 AU
Excentricita: 0,761
Sklon dráhy: 21,9°
Délka vzestupného uzlu: 177,0°
Argument perihelia: 198,2°
Střední anomálie: 358,4°
Epocha: 2020 SEP 19 19:28:35
orbit plot

NeinteraktivnĂ­ graf | InteraktivnĂ­ graf

position vs time
speed and acceleration