🇳🇴 🇬🇧 🇩🇪 🇨🇿 🇫🇮

Meteor over Eide 2020-10-01 04:33:01 UTC

KML-fil  |  Interaktivt kart

Kartet viser peilingene for meteoren. De lysere linjene viser retningene fra observasjonsstedene for meteorens tilsynekomst, og de mørkere linjene viser hvor den sist kunne sees. Den blå pila viser meteorens synlige ferd.

static map
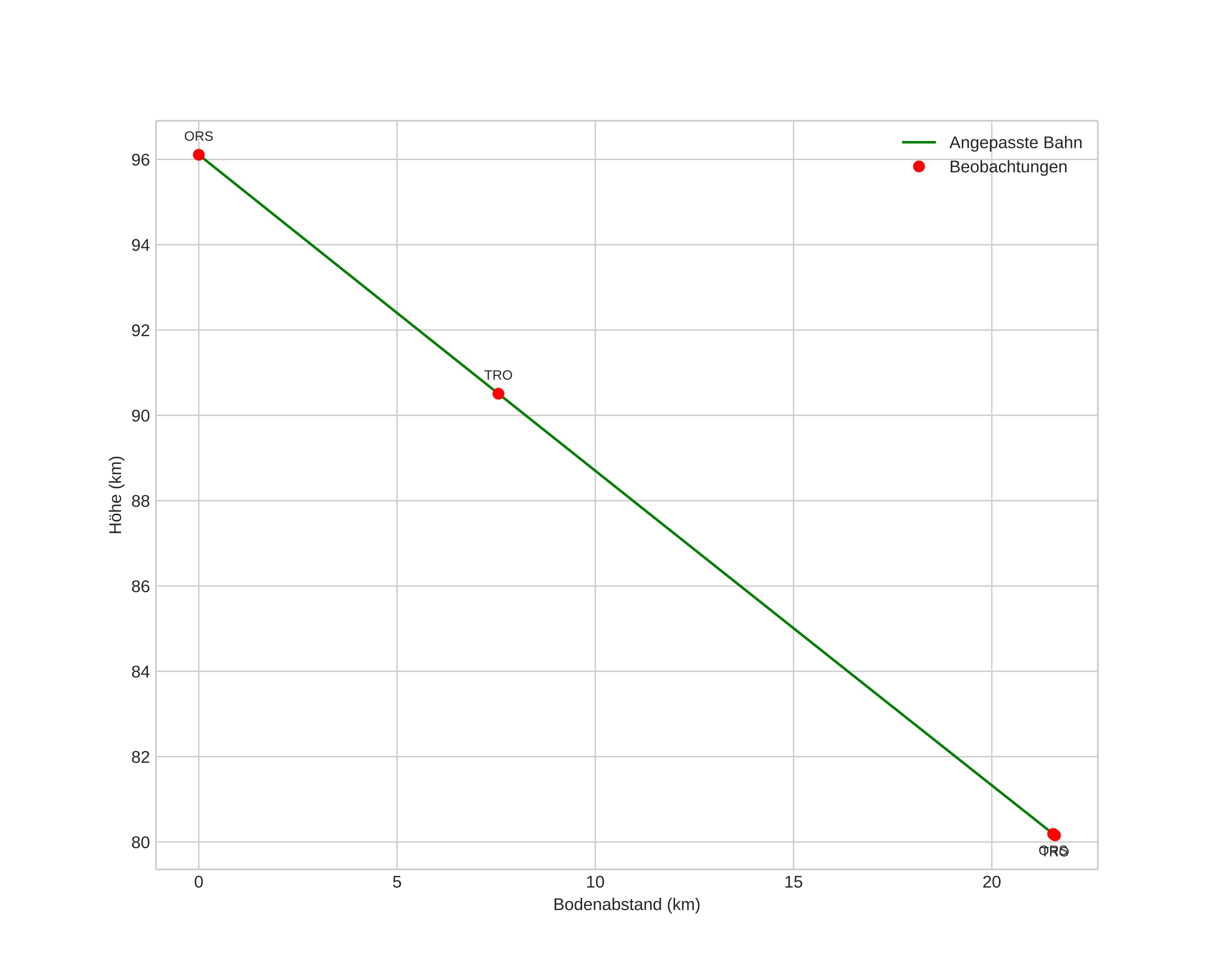
height profile
Meteorens atmosfæriske bane:
Starthøgde: 96,6 km
Slutthøgde: 79,6 km
Startposisjon: 63,113N 7,168E
Sluttposisjon: 62,920N 7,321E
Retning: 160,1°
Fallvinkel: 36,7°
Inngangshastighet: 26,8 km/s
Radiantens rektascensjon: 19:55 (299,0°)
Radiantens deklinasjon: 58,1°
Meteorsverm: sporadisk
Meteoroidens baneelement:
Perihelavstand: 0,975 AU
Eksentrisitet: 0,886
Inklinasjon: 35,8°
Knutelengde: 188,2°
Perihelargument: 199,2°
Midlere anomali: 359,5°
Epoke: 2020 OCT 01 04:33:01
orbit plot

Ikke-interaktivt plott | Interaktivt plott

position vs time
speed and acceleration

Orsta (ORS) cam1


gnomonic
Videoer
• Gnomonisk
• Gnomonisk med koordinater
• Original
• Original med koordinater
Bilder
• Gnomonisk
• Gnomonisk med koordinater
• Ukorrigert gnomonisk med koordinater
• Gnomonisk med annotering
• Ukorrigert gnomonisk med annotering
• Original
• Original med koordinater
• Original med maske
Tekstfiler
• Deteksjon
• Observasjon
• Koordinater
• Feilmeldinger
• Logg
Lysstyrke

Trondheim (TRO) cam1


gnomonic
Videoer
• Gnomonisk
• Gnomonisk med koordinater
• Original
• Original med koordinater
Bilder
• Gnomonisk
• Gnomonisk med koordinater
• Ukorrigert gnomonisk med koordinater
• Gnomonisk med annotering
• Ukorrigert gnomonisk med annotering
• Original
• Original med koordinater
• Original med maske
Tekstfiler
• Deteksjon
• Observasjon
• Koordinater
• Feilmeldinger
• Logg
Lysstyrke