🇳🇴 🇬🇧 🇩🇪 🇨🇿 🇫🇮

Meteor, poloha: Eide 2020-10-01 04:33:01 UTC

Soubor KML  |  InteraktivnĂ­ mapa

Mapa zobrazuje dráhy meteoru. Světlejší čáry ukazují směry od pozorovacích stanic při objevení se meteoru a tmavší čáry, kde byl naposledy viděn. Modrá šipka značí viditelnou dráhu meteoru.

static map
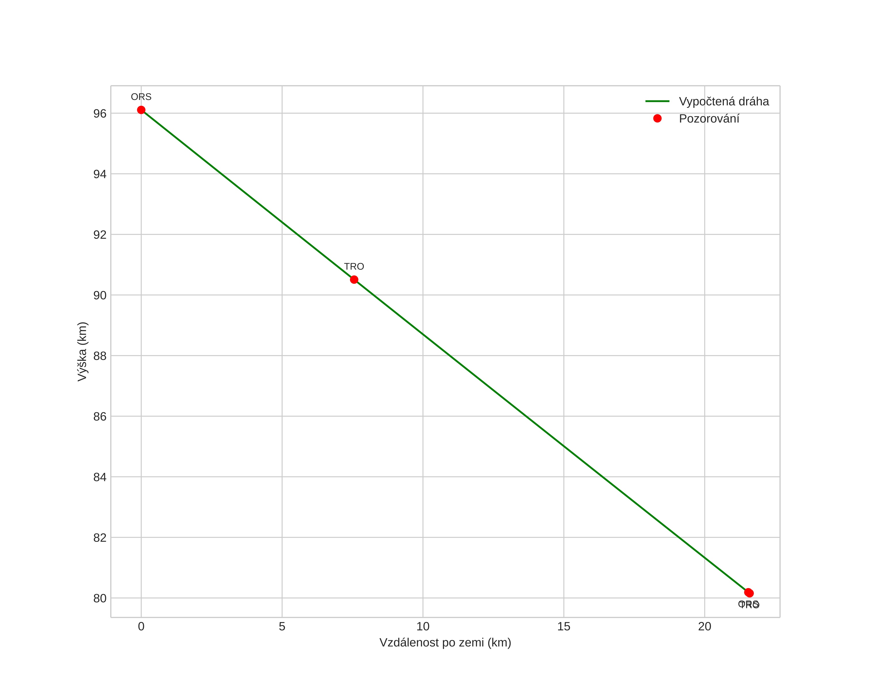
height profile
Atmosférická dráha meteoru:
Počáteční výška: 96,6 km
Konečná výška: 79,6 km
Počáteční poloha: 63,113N 7,168E
Konečná poloha: 62,920N 7,321E
Směr: 160,1°
Sklon: 36,7°
VstupnĂ­ rychlost: 26,8 km/s
Rektascenze radiantu: 19:55 (299,0°)
Deklinace radiantu: 58,1°
MeteorickĂ˝ roj: sporadickĂ˝
Elementy dráhy meteoroidu:
Vzdálenost v periheliu: 0,975 AU
Excentricita: 0,886
Sklon dráhy: 35,8°
Délka vzestupného uzlu: 188,2°
Argument perihelia: 199,2°
Střední anomálie: 359,5°
Epocha: 2020 OCT 01 04:33:01
orbit plot

NeinteraktivnĂ­ graf | InteraktivnĂ­ graf

position vs time
speed and acceleration