🇳🇴 🇬🇧 🇩🇪 🇨🇿 🇫🇮

Meteor, poloha: Sistranda 2020-10-05 20:38:41 UTC

Soubor KML  |  InteraktivnĂ­ mapa

Mapa zobrazuje dráhy meteoru. Světlejší čáry ukazují směry od pozorovacích stanic při objevení se meteoru a tmavší čáry, kde byl naposledy viděn. Modrá šipka značí viditelnou dráhu meteoru.

static map
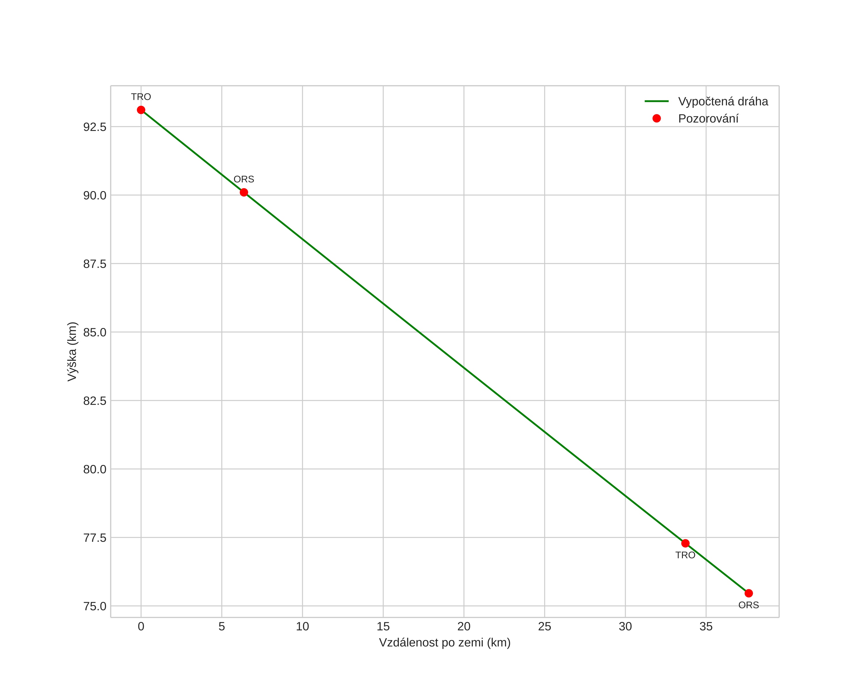
height profile
Atmosférická dráha meteoru:
Počáteční výška: 93,0 km
Konečná výška: 76,2 km
Počáteční poloha: 63,497N 9,548E
Konečná poloha: 63,677N 8,907E
Směr: 302,6°
Sklon: 24,1°
VstupnĂ­ rychlost: 33,4 km/s
Rektascenze radiantu: 01:41 (25,4°)
Deklinace radiantu: 6,3°
MeteorickĂ˝ roj: sporadickĂ˝
Elementy dráhy meteoroidu:
Vzdálenost v periheliu: 0,309 AU
Excentricita: 0,897
Sklon dráhy: 5,4°
Délka vzestupného uzlu: 12,8°
Argument perihelia: 117,5°
Střední anomálie: 352,4°
Epocha: 2020 OCT 05 20:38:41
orbit plot

NeinteraktivnĂ­ graf | InteraktivnĂ­ graf

position vs time
speed and acceleration