🇳🇴 🇬🇧 🇩🇪 🇨🇿 🇫🇮

Meteor, poloha: Svelgen 2020-10-07 23:43:18 UTC

Soubor KML  |  InteraktivnĂ­ mapa

Mapa zobrazuje dráhy meteoru. Světlejší čáry ukazují směry od pozorovacích stanic při objevení se meteoru a tmavší čáry, kde byl naposledy viděn. Modrá šipka značí viditelnou dráhu meteoru.

static map
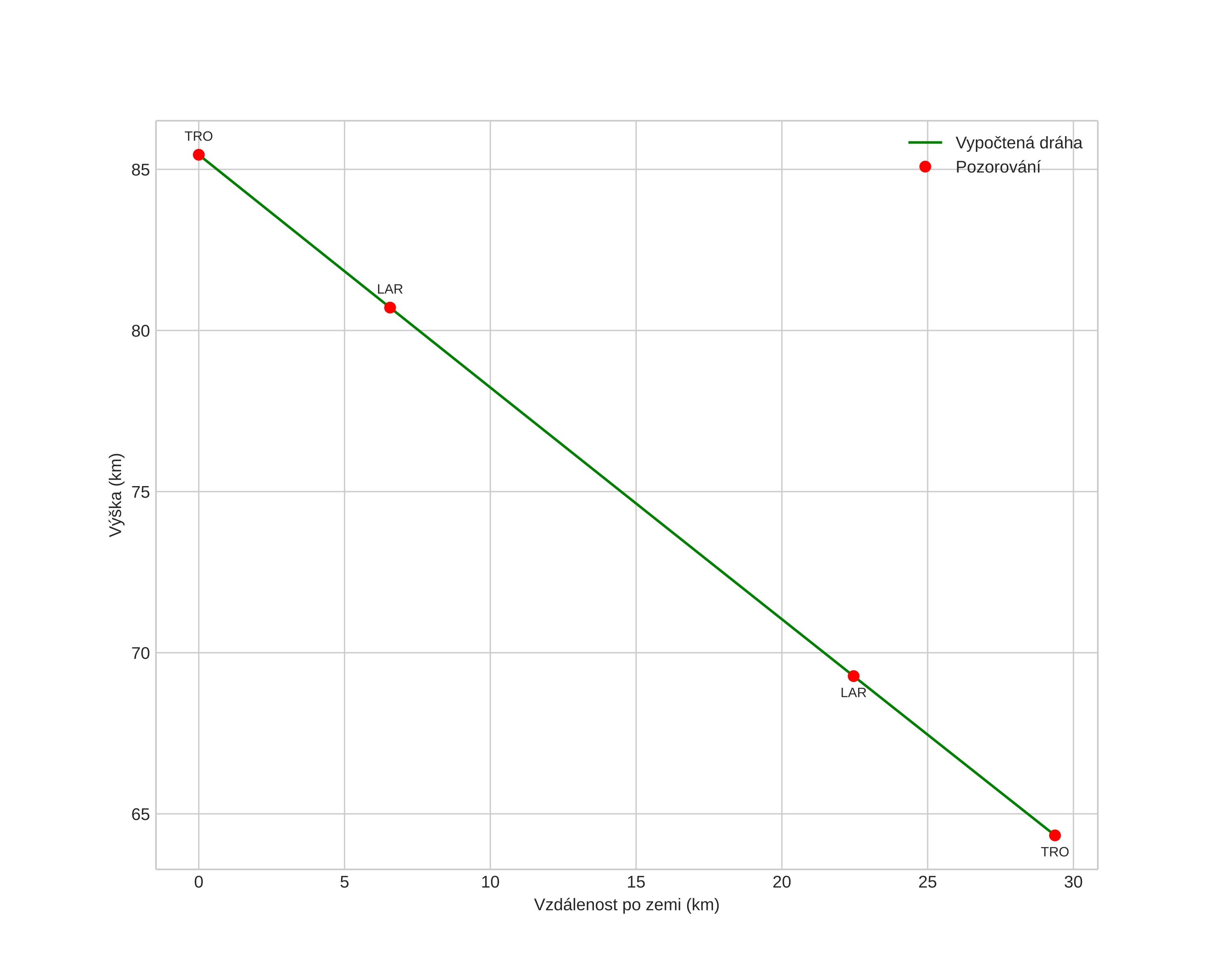
height profile
Atmosférická dráha meteoru:
Počáteční výška: 96,6 km
Konečná výška: 67,0 km
Počáteční poloha: 61,298N 5,074E
Konečná poloha: 61,640N 5,198E
Směr: 9,8°
Sklon: 37,5°
VstupnĂ­ rychlost: 26,4 km/s
Rektascenze radiantu: 00:36 (9,1°)
Deklinace radiantu: 6,2°
MeteorickĂ˝ roj: sporadickĂ˝
Elementy dráhy meteoroidu:
Vzdálenost v periheliu: 0,596 AU
Excentricita: 0,876
Sklon dráhy: 1,6°
Délka vzestupného uzlu: 194,8°
Argument perihelia: 262,2°
Střední anomálie: 356,2°
Epocha: 2020 OCT 07 23:43:18
orbit plot

NeinteraktivnĂ­ graf | InteraktivnĂ­ graf

position vs time
speed and acceleration