🇳🇴 🇬🇧 🇩🇪 🇨🇿 🇫🇮

Meteor, poloha: Sistranda 2020-10-12 19:45:30 UTC

Soubor KML  |  InteraktivnĂ­ mapa

Mapa zobrazuje dráhy meteoru. Světlejší čáry ukazují směry od pozorovacích stanic při objevení se meteoru a tmavší čáry, kde byl naposledy viděn. Modrá šipka značí viditelnou dráhu meteoru.

static map
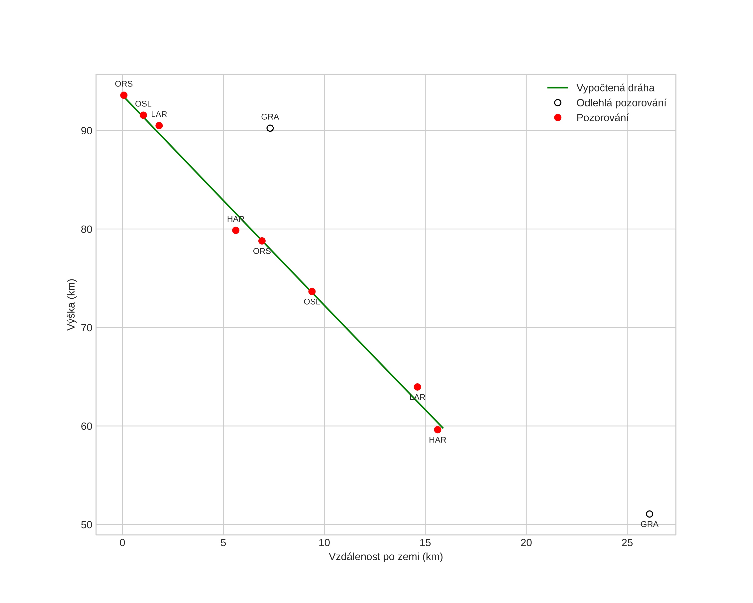
height profile
Atmosférická dráha meteoru:
Počáteční výška: 93,6 km
Konečná výška: 59,8 km
Počáteční poloha: 63,690N 8,509E
Konečná poloha: 63,800N 8,716E
Směr: 39,6°
Sklon: 64,8°
VstupnĂ­ rychlost: 20,5 km/s
Rektascenze radiantu: 20:13 (303,4°)
Deklinace radiantu: 39,4°
MeteorickĂ˝ roj: sporadickĂ˝
Elementy dráhy meteoroidu:
Vzdálenost v periheliu: 0,979 AU
Excentricita: 0,887
Sklon dráhy: 21,0°
Délka vzestupného uzlu: 199,7°
Argument perihelia: 196,3°
Střední anomálie: 359,5°
Epocha: 2020 OCT 12 19:45:30
orbit plot

NeinteraktivnĂ­ graf | InteraktivnĂ­ graf

position vs time
speed and acceleration