🇳🇴 🇬🇧 🇩🇪 🇨🇿 🇫🇮

Meteor, poloha: Kirkenær 2020-10-13 20:19:27 UTC

Soubor KML  |  InteraktivnĂ­ mapa

Mapa zobrazuje dráhy meteoru. Světlejší čáry ukazují směry od pozorovacích stanic při objevení se meteoru a tmavší čáry, kde byl naposledy viděn. Modrá šipka značí viditelnou dráhu meteoru.

static map
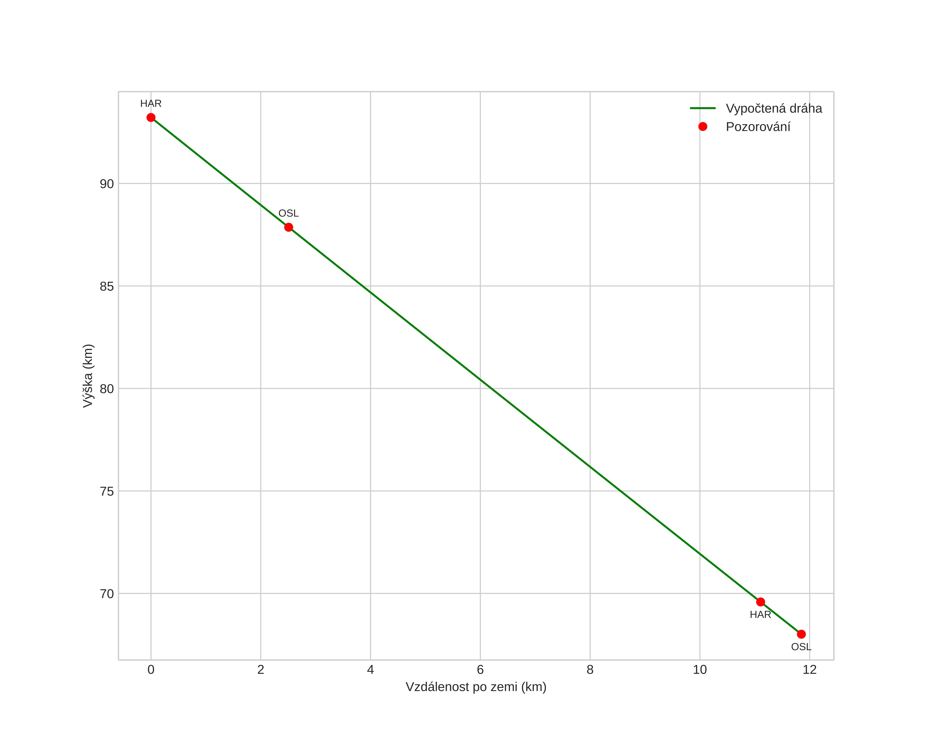
height profile
Atmosférická dráha meteoru:
Počáteční výška: 91,1 km
Konečná výška: 68,0 km
Počáteční poloha: 60,209N 12,286E
Konečná poloha: 60,294N 12,393E
Směr: 32,1°
Sklon: 64,2°
VstupnĂ­ rychlost: 19,7 km/s
Rektascenze radiantu: 21:24 (321,2°)
Deklinace radiantu: 34,1°
MeteorickĂ˝ roj: sporadickĂ˝
Elementy dráhy meteoroidu:
Vzdálenost v periheliu: 0,944 AU
Excentricita: 0,832
Sklon dráhy: 17,4°
Délka vzestupného uzlu: 200,7°
Argument perihelia: 208,1°
Střední anomálie: 358,5°
Epocha: 2020 OCT 13 20:19:27
orbit plot

NeinteraktivnĂ­ graf | InteraktivnĂ­ graf

position vs time
speed and acceleration