🇳🇴 🇬🇧 🇩🇪 🇨🇿 🇫🇮

Meteor, poloha: Tau 2020-10-14 01:58:28 UTC

Soubor KML  |  InteraktivnĂ­ mapa

Mapa zobrazuje dráhy meteoru. Světlejší čáry ukazují směry od pozorovacích stanic při objevení se meteoru a tmavší čáry, kde byl naposledy viděn. Modrá šipka značí viditelnou dráhu meteoru.

static map
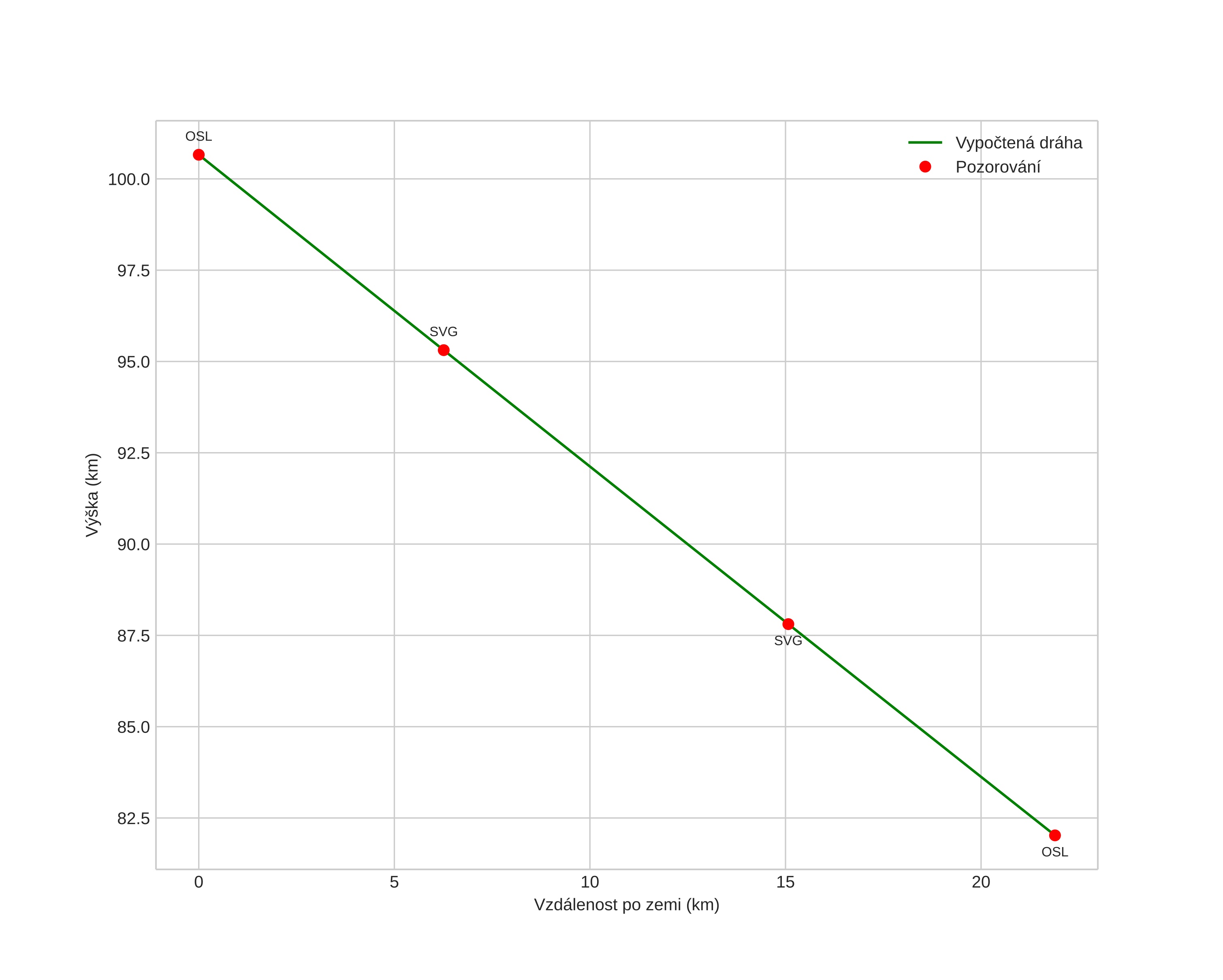
height profile
Atmosférická dráha meteoru:
Počáteční výška: 101,2 km
Konečná výška: 83,0 km
Počáteční poloha: 59,103N 6,255E
Konečná poloha: 59,073N 5,883E
Směr: 261,4°
Sklon: 40,2°
VstupnĂ­ rychlost: 60,1 km/s
Rektascenze radiantu: 08:46 (131,5°)
Deklinace radiantu: 37,6°
MeteorickĂ˝ roj: sporadickĂ˝
Elementy dráhy meteoroidu:
Vzdálenost v periheliu: 0,757 AU
Excentricita: 0,421
Sklon dráhy: 142,0°
Délka vzestupného uzlu: 200,9°
Argument perihelia: 100,6°
Střední anomálie: 35,9°
Epocha: 2020 OCT 14 01:58:28
orbit plot

NeinteraktivnĂ­ graf | InteraktivnĂ­ graf

position vs time
speed and acceleration