🇳🇴 🇬🇧 🇩🇪 🇨🇿 🇫🇮

Meteor, poloha: Tysse 2020-10-17 18:54:24 UTC

Soubor KML  |  InteraktivnĂ­ mapa

Mapa zobrazuje dráhy meteoru. Světlejší čáry ukazují směry od pozorovacích stanic při objevení se meteoru a tmavší čáry, kde byl naposledy viděn. Modrá šipka značí viditelnou dráhu meteoru.

static map
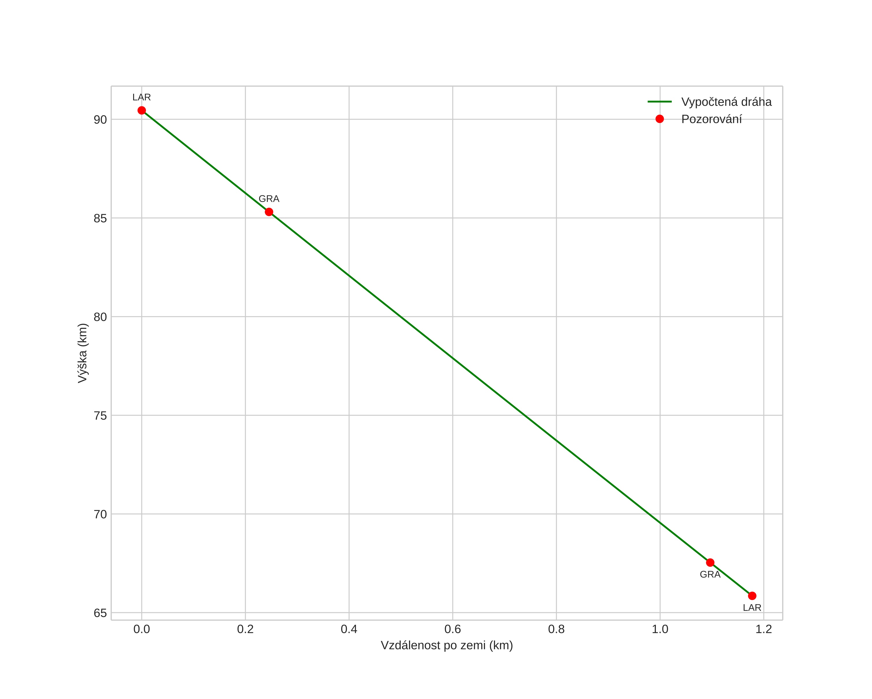
height profile
Atmosférická dráha meteoru:
Počáteční výška: 99,7 km
Konečná výška: 69,1 km
Počáteční poloha: 60,402N 5,688E
Konečná poloha: 60,382N 5,718E
Směr: 142,9°
Sklon: 84,9°
VstupnĂ­ rychlost: 29,9 km/s
Rektascenze radiantu: 20:30 (307,5°)
Deklinace radiantu: 64,1°
MeteorickĂ˝ roj: sporadickĂ˝
Elementy dráhy meteoroidu:
Vzdálenost v periheliu: 0,964 AU
Excentricita: 1,019
Sklon dráhy: 40,0°
Délka vzestupného uzlu: 204,6°
Argument perihelia: 200,7°
Střední anomálie: -0,0°
Epocha: 2020 OCT 17 18:54:24
orbit plot

NeinteraktivnĂ­ graf | InteraktivnĂ­ graf

position vs time
speed and acceleration