🇳🇴 🇬🇧 🇩🇪 🇨🇿 🇫🇮

Meteor, poloha: Torsby 2020-10-18 00:25:34 UTC

Soubor KML  |  InteraktivnĂ­ mapa

Mapa zobrazuje dráhy meteoru. Světlejší čáry ukazují směry od pozorovacích stanic při objevení se meteoru a tmavší čáry, kde byl naposledy viděn. Modrá šipka značí viditelnou dráhu meteoru.

static map
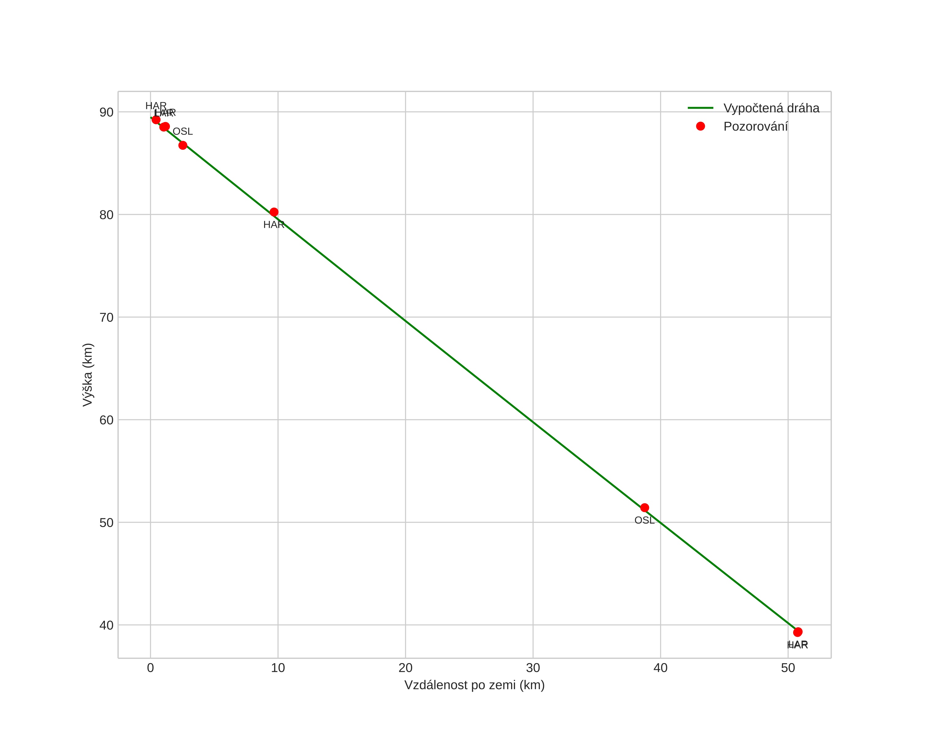
height profile
Atmosférická dráha meteoru:
Počáteční výška: 87,9 km
Konečná výška: 39,3 km
Počáteční poloha: 60,619N 12,252E
Konečná poloha: 60,355N 13,028E
Směr: 124,2°
Sklon: 43,3°
VstupnĂ­ rychlost: 18,8 km/s
Rektascenze radiantu: 20:33 (308,3°)
Deklinace radiantu: 48,3°
MeteorickĂ˝ roj: sporadickĂ˝
Elementy dráhy meteoroidu:
Vzdálenost v periheliu: 0,974 AU
Excentricita: 0,630
Sklon dráhy: 21,3°
Délka vzestupného uzlu: 204,8°
Argument perihelia: 199,8°
Střední anomálie: 356,5°
Epocha: 2020 OCT 18 00:25:34
orbit plot

NeinteraktivnĂ­ graf | InteraktivnĂ­ graf

position vs time
speed and acceleration