🇳🇴 🇬🇧 🇩🇪 🇨🇿 🇫🇮

Meteor, poloha: Rotnes 2020-10-18 21:41:26 UTC

Soubor KML  |  InteraktivnĂ­ mapa

Mapa zobrazuje dráhy meteoru. Světlejší čáry ukazují směry od pozorovacích stanic při objevení se meteoru a tmavší čáry, kde byl naposledy viděn. Modrá šipka značí viditelnou dráhu meteoru.

static map
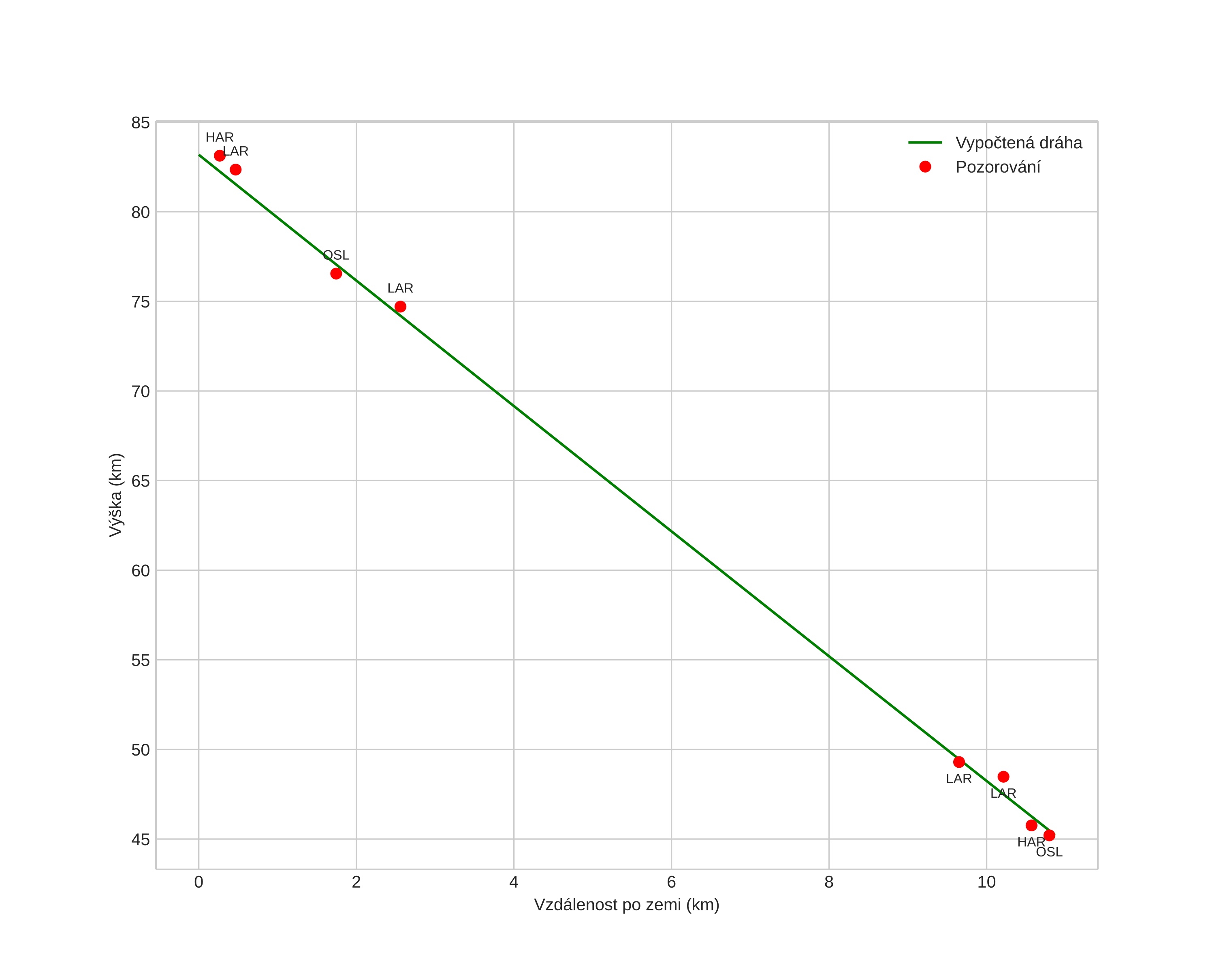
height profile
Atmosférická dráha meteoru:
Počáteční výška: 85,5 km
Konečná výška: 46,0 km
Počáteční poloha: 60,057N 10,633E
Konečná poloha: 60,045N 10,835E
Směr: 96,6°
Sklon: 74,1°
VstupnĂ­ rychlost: 21,9 km/s
Rektascenze radiantu: 21:58 (329,6°)
Deklinace radiantu: 57,1°
MeteorickĂ˝ roj: sporadickĂ˝
Elementy dráhy meteoroidu:
Vzdálenost v periheliu: 0,918 AU
Excentricita: 0,616
Sklon dráhy: 27,3°
Délka vzestupného uzlu: 205,7°
Argument perihelia: 217,5°
Střední anomálie: 352,6°
Epocha: 2020 OCT 18 21:41:26
orbit plot

NeinteraktivnĂ­ graf | InteraktivnĂ­ graf

position vs time
speed and acceleration