🇳🇴 🇬🇧 🇩🇪 🇨🇿 🇫🇮

Meteor, poloha: Savukoski 2020-10-21 16:43:44 UTC

Soubor KML  |  InteraktivnĂ­ mapa

Mapa zobrazuje dráhy meteoru. Světlejší čáry ukazují směry od pozorovacích stanic při objevení se meteoru a tmavší čáry, kde byl naposledy viděn. Modrá šipka značí viditelnou dráhu meteoru.

static map
height profile
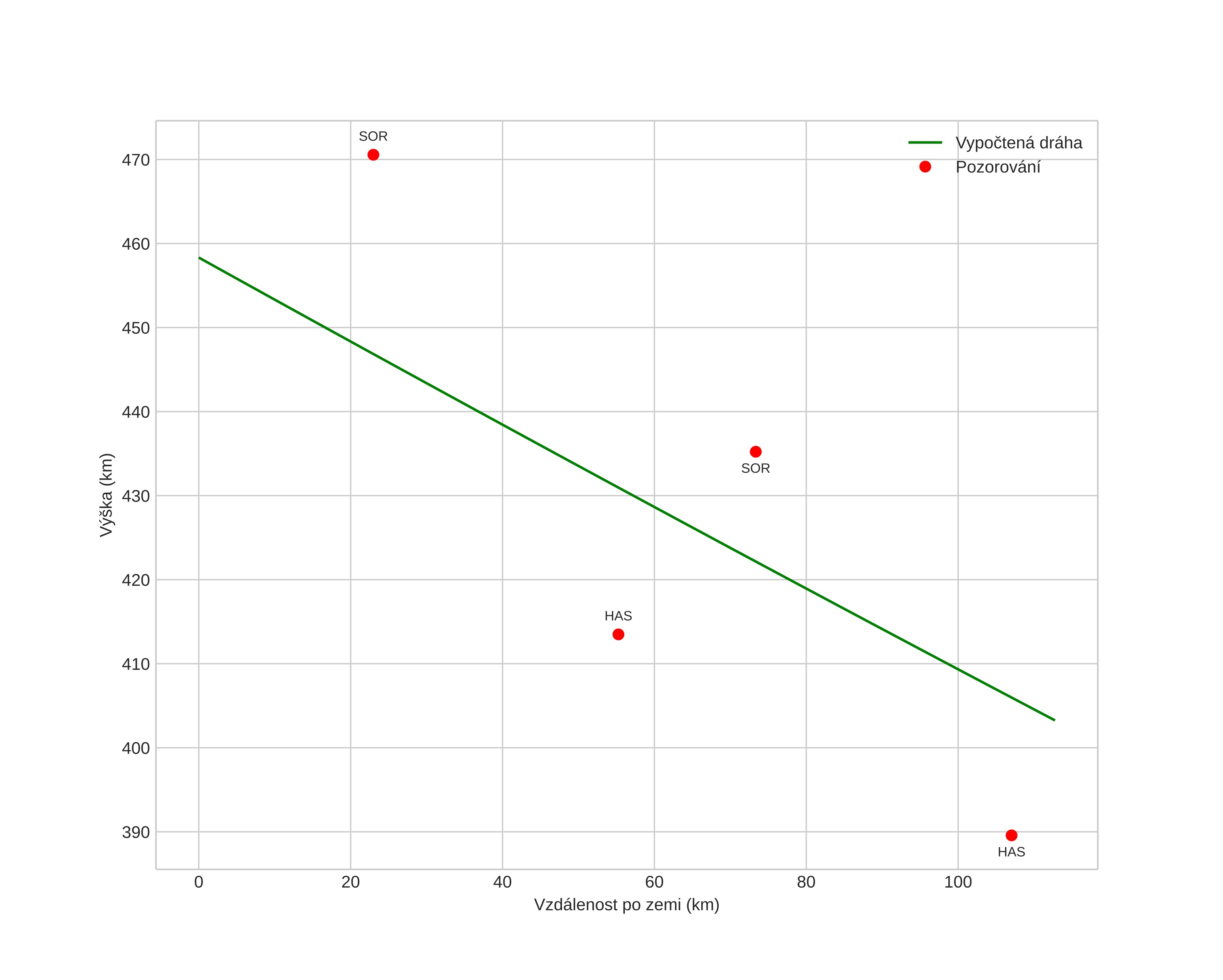
Atmosférická dráha meteoru:
Počáteční výška: 457,1 km
Konečná výška: 403,5 km
Počáteční poloha: 68,523N 27,165E
Konečná poloha: 67,569N 27,959E
Směr: 162,4°
Sklon: 25,8°
VstupnĂ­ rychlost: 248,4 km/s
Rektascenze radiantu: 10:05 (151,5°)
Deklinace radiantu: 46,0°
MeteorickĂ˝ roj: sporadickĂ˝
Elementy dráhy meteoroidu:
Vzdálenost v periheliu: 0,955 AU
Excentricita: 53,327
Sklon dráhy: 142,5°
Délka vzestupného uzlu: 208,5°
Argument perihelia: 163,5°
Střední anomálie: 873,5°
Epocha: 2020 OCT 21 16:43:44
orbit plot

NeinteraktivnĂ­ graf | InteraktivnĂ­ graf

position vs time
speed and acceleration