🇳🇴 🇬🇧 🇩🇪 🇨🇿 🇫🇮

Meteor, poloha: Tranås 2020-10-21 17:51:25 UTC

Soubor KML

Mapa zobrazuje dráhy meteoru. Světlejší čáry ukazují směry od pozorovacích stanic při objevení se meteoru a tmavší čáry, kde byl naposledy viděn. Modrá šipka značí viditelnou dráhu meteoru.

static map
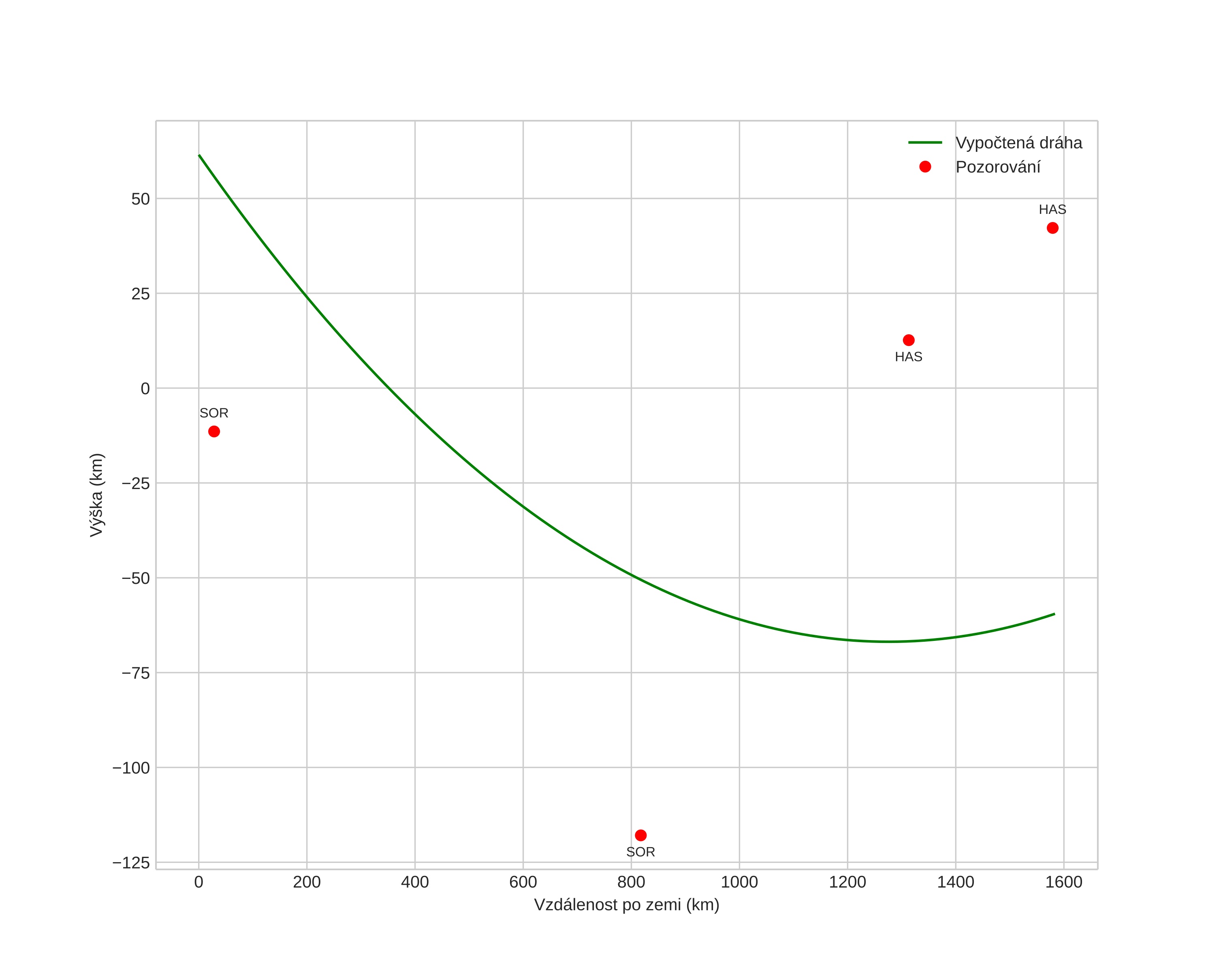
height profile
Atmosférická dráha meteoru:
Počáteční výška: 61,5 km
Konečná výška: -59,5 km
Počáteční poloha: 43,909N 14,638E
Konečná poloha: 58,149N 14,910E
Směr: 0,6°
Sklon: 4,4°
Vstupní rychlost: 3269,7 km/s
Rektascenze radiantu: 20:47 (311,9°)
Deklinace radiantu: -41,8°
Meteorický roj: sporadický
Elementy dráhy meteoroidu:
Vzdálenost v periheliu: 0,993 AU
Excentricita: 12168,252
Sklon dráhy: 22,9°
Délka vzestupného uzlu: 28,5°
Argument perihelia: 3,9°
Střední anomálie: -47431,6°
Epocha: 2020 OCT 21 17:51:25
orbit plot

Neinteraktivní graf

position vs time
speed and acceleration