🇳🇴 🇬🇧 🇩🇪 🇨🇿 🇫🇮

Meteor, poloha: Molde 2020-10-27 00:21:41 UTC

Soubor KML  |  InteraktivnĂ­ mapa

Mapa zobrazuje dráhy meteoru. Světlejší čáry ukazují směry od pozorovacích stanic při objevení se meteoru a tmavší čáry, kde byl naposledy viděn. Modrá šipka značí viditelnou dráhu meteoru.

static map
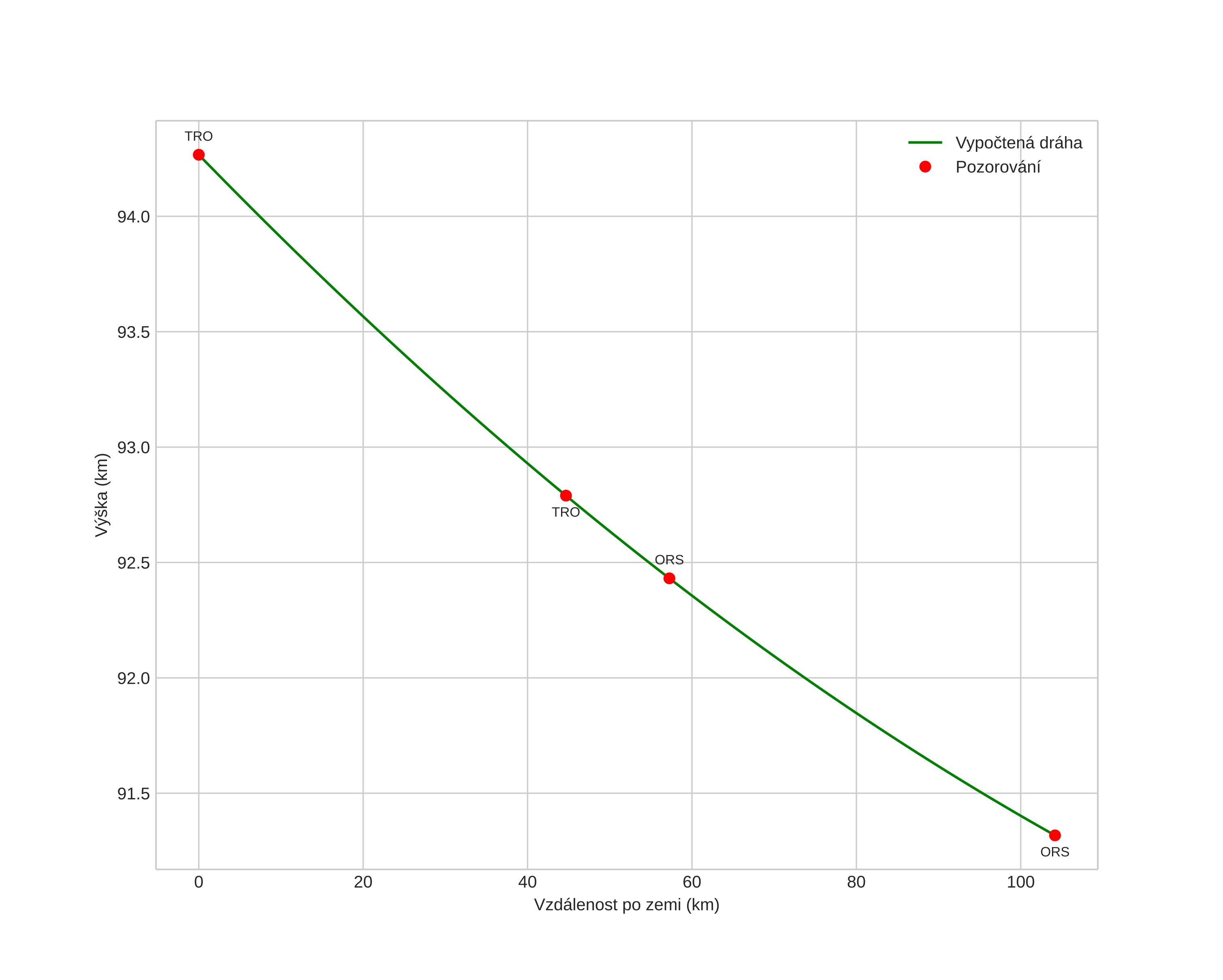
height profile
Atmosférická dráha meteoru:
Počáteční výška: 92,0 km
Konečná výška: 90,8 km
Počáteční poloha: 63,016N 7,338E
Konečná poloha: 62,598N 7,284E
Směr: 183,4°
Sklon: 1,5°
VstupnĂ­ rychlost: 26,6 km/s
Rektascenze radiantu: 15:00 (225,1°)
Deklinace radiantu: 23,2°
MeteorickĂ˝ roj: sporadickĂ˝
Elementy dráhy meteoroidu:
Vzdálenost v periheliu: 0,721 AU
Excentricita: 0,748
Sklon dráhy: 26,5°
Délka vzestupného uzlu: 213,8°
Argument perihelia: 111,1°
Střední anomálie: 8,3°
Epocha: 2020 OCT 27 00:21:41
orbit plot

NeinteraktivnĂ­ graf | InteraktivnĂ­ graf

position vs time
speed and acceleration