🇳🇴 🇬🇧 🇩🇪 🇨🇿 🇫🇮

Meteor, poloha: Skogn 2020-10-30 02:07:06 UTC

Soubor KML  |  InteraktivnĂ­ mapa

Mapa zobrazuje dráhy meteoru. Světlejší čáry ukazují směry od pozorovacích stanic při objevení se meteoru a tmavší čáry, kde byl naposledy viděn. Modrá šipka značí viditelnou dráhu meteoru.

static map
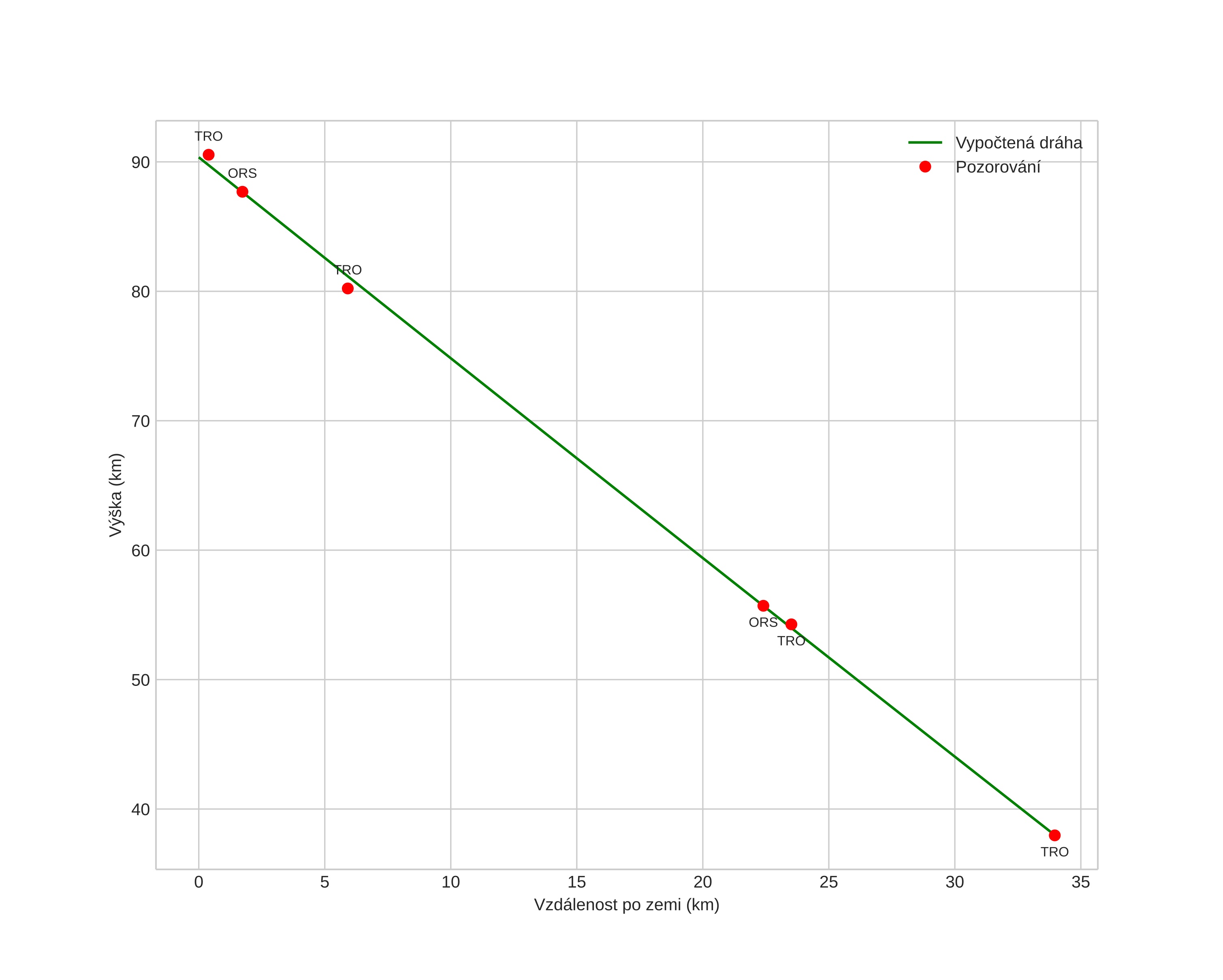
height profile
Atmosférická dráha meteoru:
Počáteční výška: 94,6 km
Konečná výška: 52,1 km
Počáteční poloha: 63,779N 10,996E
Konečná poloha: 63,551N 11,180E
Směr: 160,2°
Sklon: 57,7°
VstupnĂ­ rychlost: 28,9 km/s
Rektascenze radiantu: 21:40 (325,1°)
Deklinace radiantu: 77,3°
MeteorickĂ˝ roj: sporadickĂ˝
Elementy dráhy meteoroidu:
Vzdálenost v periheliu: 0,926 AU
Excentricita: 0,641
Sklon dráhy: 43,1°
Délka vzestupného uzlu: 216,8°
Argument perihelia: 214,1°
Střední anomálie: 354,0°
Epocha: 2020 OCT 30 02:07:06
orbit plot

NeinteraktivnĂ­ graf | InteraktivnĂ­ graf

position vs time
speed and acceleration