🇳🇴 🇬🇧 🇩🇪 🇨🇿 🇫🇮

Meteor, poloha: Karlshus 2020-11-03 02:51:08 UTC

Soubor KML  |  InteraktivnĂ­ mapa

Mapa zobrazuje dráhy meteoru. Světlejší čáry ukazují směry od pozorovacích stanic při objevení se meteoru a tmavší čáry, kde byl naposledy viděn. Modrá šipka značí viditelnou dráhu meteoru.

static map
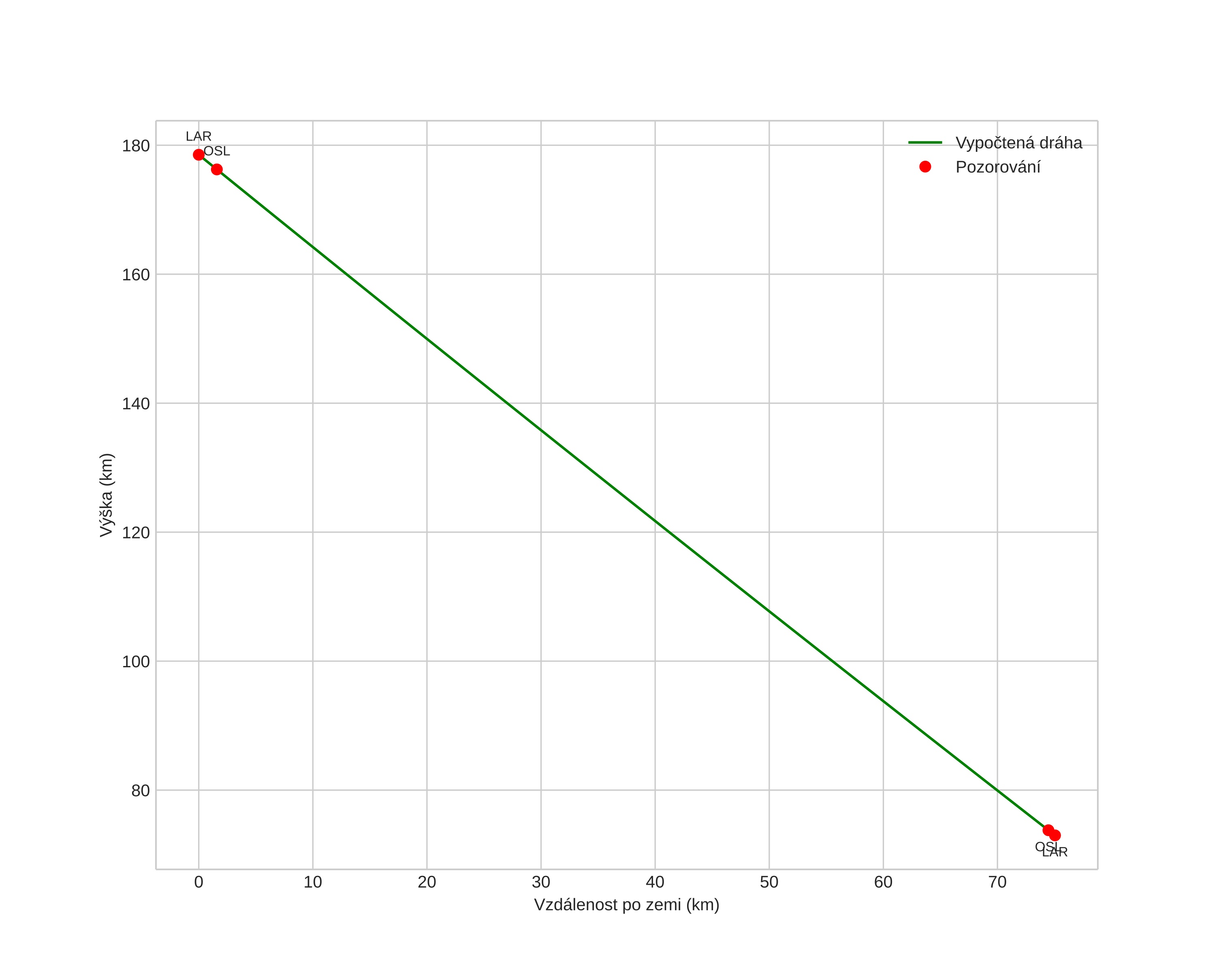
height profile
Atmosférická dráha meteoru:
Počáteční výška: 99,5 km
Konečná výška: 70,8 km
Počáteční poloha: 59,426N 10,598E
Konečná poloha: 59,378N 10,959E
Směr: 104,4°
Sklon: 53,7°
VstupnĂ­ rychlost: 33,9 km/s
Rektascenze radiantu: 02:02 (30,7°)
Deklinace radiantu: 49,1°
MeteorickĂ˝ roj: sporadickĂ˝
Elementy dráhy meteoroidu:
Vzdálenost v periheliu: 0,588 AU
Excentricita: 0,998
Sklon dráhy: 33,7°
Délka vzestupného uzlu: 220,9°
Argument perihelia: 259,3°
Střední anomálie: 360,0°
Epocha: 2020 NOV 03 02:51:08
orbit plot

NeinteraktivnĂ­ graf | InteraktivnĂ­ graf

position vs time
speed and acceleration