🇳🇴 🇬🇧 🇩🇪 🇨🇿 🇫🇮

Meteor, poloha: Frövi 2020-11-04 03:17:27 UTC

Soubor KML  |  InteraktivnĂ­ mapa

Mapa zobrazuje dráhy meteoru. Světlejší čáry ukazují směry od pozorovacích stanic při objevení se meteoru a tmavší čáry, kde byl naposledy viděn. Modrá šipka značí viditelnou dráhu meteoru.

static map
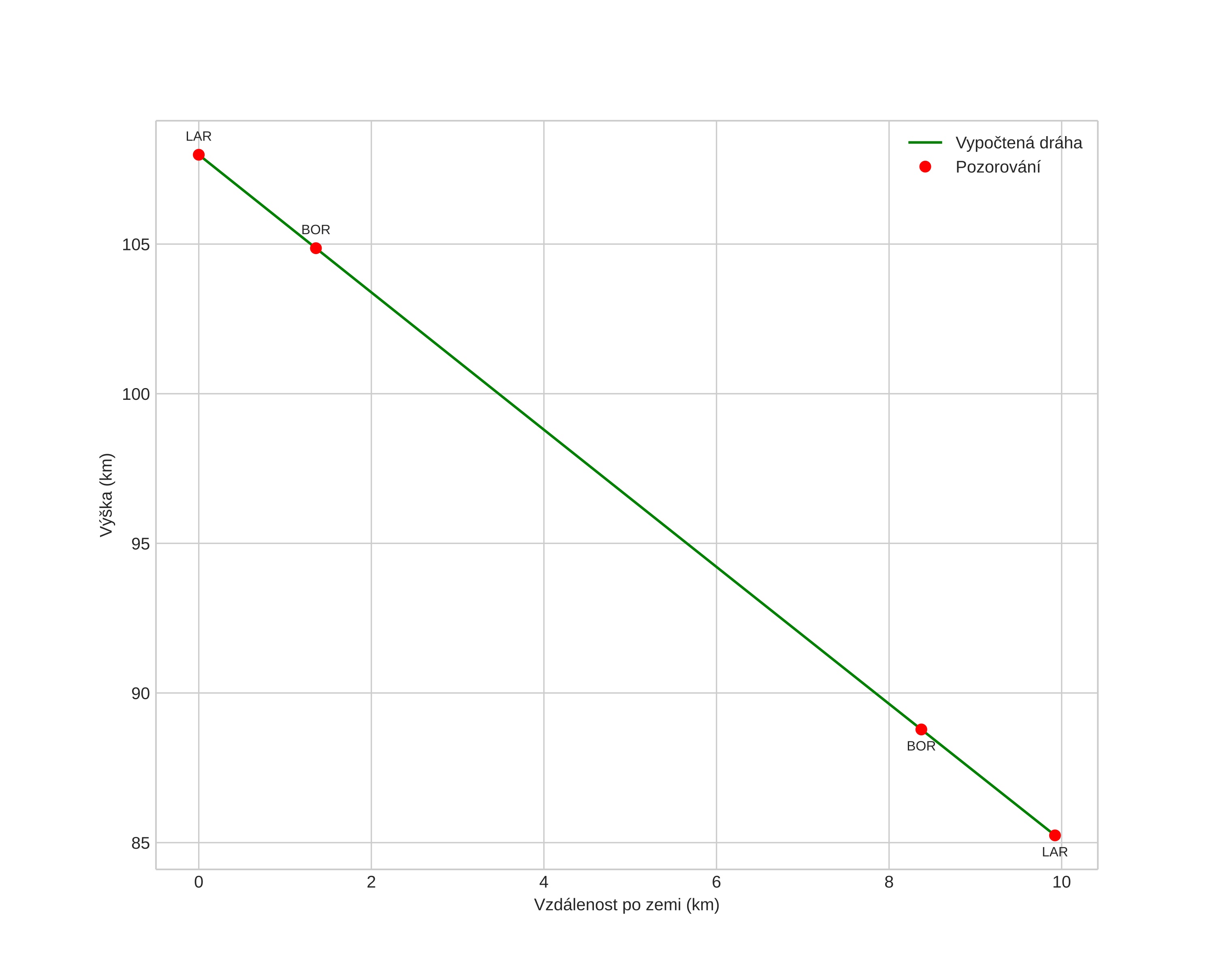
height profile
Atmosférická dráha meteoru:
Počáteční výška: 105,0 km
Konečná výška: 84,7 km
Počáteční poloha: 59,552N 15,590E
Konečná poloha: 59,584N 15,445E
Směr: 293,2°
Sklon: 66,4°
VstupnĂ­ rychlost: 61,8 km/s
Rektascenze radiantu: 09:18 (139,7°)
Deklinace radiantu: 45,1°
MeteorickĂ˝ roj: sporadickĂ˝
Elementy dráhy meteoroidu:
Vzdálenost v periheliu: 0,971 AU
Excentricita: 0,550
Sklon dráhy: 129,5°
Délka vzestupného uzlu: 221,9°
Argument perihelia: 199,5°
Střední anomálie: 355,2°
Epocha: 2020 NOV 04 03:17:27
orbit plot

NeinteraktivnĂ­ graf | InteraktivnĂ­ graf

position vs time
speed and acceleration