🇳🇴 🇬🇧 🇩🇪 🇨🇿 🇫🇮

Meteor Lysakerin yllä 2020-11-04 05:29:38 UTC

KML-tiedosto  |  Interaktiivinen kartta

Kartta näyttää meteorin suuntahavainnot. Vaaleammat viivat näyttävät suunnat havaintoasemilta meteorin ilmestyessä, ja tummemmat viivat näyttävät, missä se viimeksi nähtiin. Sininen nuoli näyttää meteorin näkyvän lennon.

static map
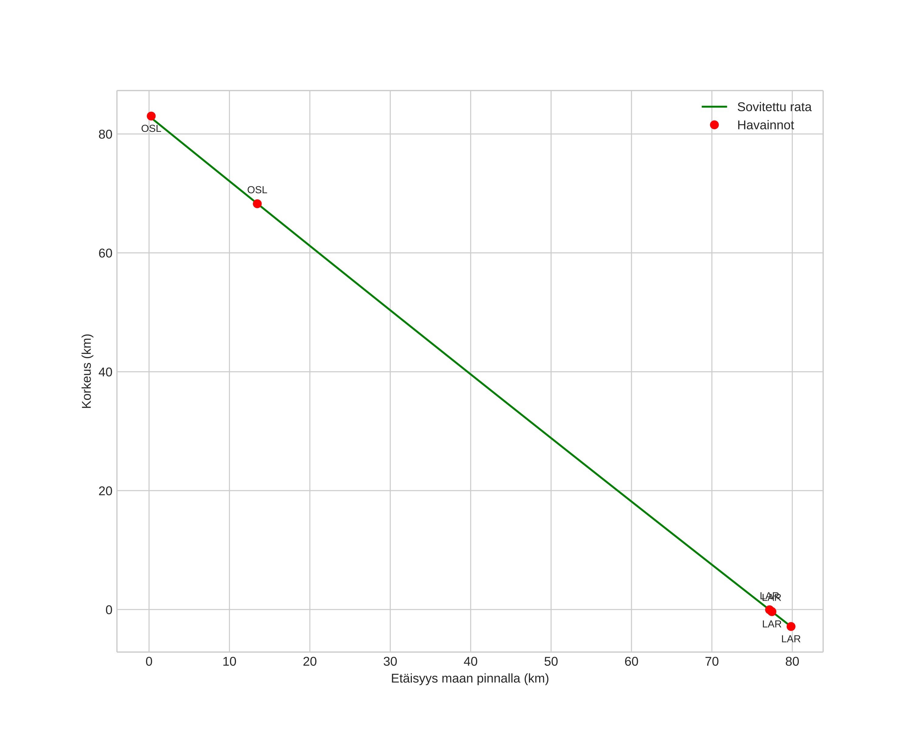
height profile
Meteorin ilmakehärata:
Alkukorkeus: 78,6 km
Loppukorkeus: 28,0 km
Alkupiste: 59,289N 10,264E
Loppupiste: 59,899N 10,611E
Suunta: 15,9°
Kallistuskulma: 35,6°
Tulonopeus: 49,8 km/s
Radiantin R,A,: 08:11 (123,0°)
Radiantin Dekl,: 5,1°
Meteoriparvi: Sporadinen
Meteoroidin rataelementit:
Perihelietäisyys: 0,303 AU
Eksentrisyys: 0,550
Inklinaatio: 143,6°
Nousevan solmun pituus: 42,0°
Perihelin argumentti: 163,2°
Keskianomalia: 226,6°
Epookki: 2020 NOV 04 05:29:38
orbit plot

Ei-interaktiivinen kuvaaja | Interaktiivinen kuvaaja

position vs time
speed and acceleration