🇳🇴 🇬🇧 🇩🇪 🇨🇿 🇫🇮

Meteor, poloha: Bengtsfors 2020-11-06 22:03:47 UTC

Soubor KML  |  InteraktivnĂ­ mapa

Mapa zobrazuje dráhy meteoru. Světlejší čáry ukazují směry od pozorovacích stanic při objevení se meteoru a tmavší čáry, kde byl naposledy viděn. Modrá šipka značí viditelnou dráhu meteoru.

static map
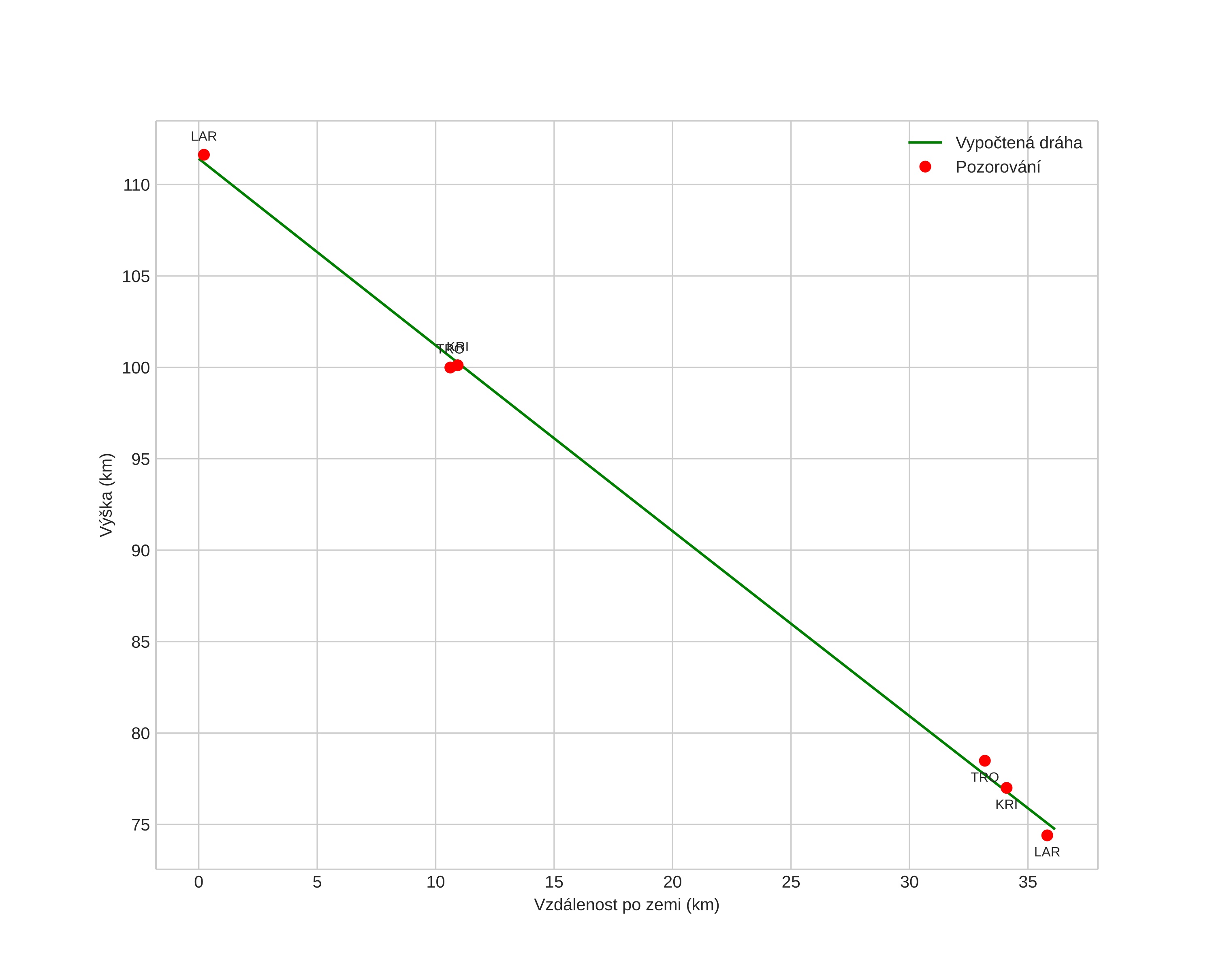
height profile
Atmosférická dráha meteoru:
Počáteční výška: 113,8 km
Konečná výška: 75,9 km
Počáteční poloha: 59,202N 12,809E
Konečná poloha: 59,016N 12,209E
Směr: 239,1°
Sklon: 43,5°
VstupnĂ­ rychlost: 61,5 km/s
Rektascenze radiantu: 07:48 (117,2°)
Deklinace radiantu: 51,3°
MeteorickĂ˝ roj: sporadickĂ˝
Elementy dráhy meteoroidu:
Vzdálenost v periheliu: 0,679 AU
Excentricita: 0,946
Sklon dráhy: 120,1°
Délka vzestupného uzlu: 224,7°
Argument perihelia: 249,4°
Střední anomálie: 359,2°
Epocha: 2020 NOV 06 22:03:47
orbit plot

NeinteraktivnĂ­ graf | InteraktivnĂ­ graf

position vs time
speed and acceleration