🇳🇴 🇬🇧 🇩🇪 🇨🇿 🇫🇮

Meteor, poloha: Bengtsfors 2020-11-06 22:03:48 UTC

Soubor KML  |  InteraktivnĂ­ mapa

Mapa zobrazuje dráhy meteoru. Světlejší čáry ukazují směry od pozorovacích stanic při objevení se meteoru a tmavší čáry, kde byl naposledy viděn. Modrá šipka značí viditelnou dráhu meteoru.

static map
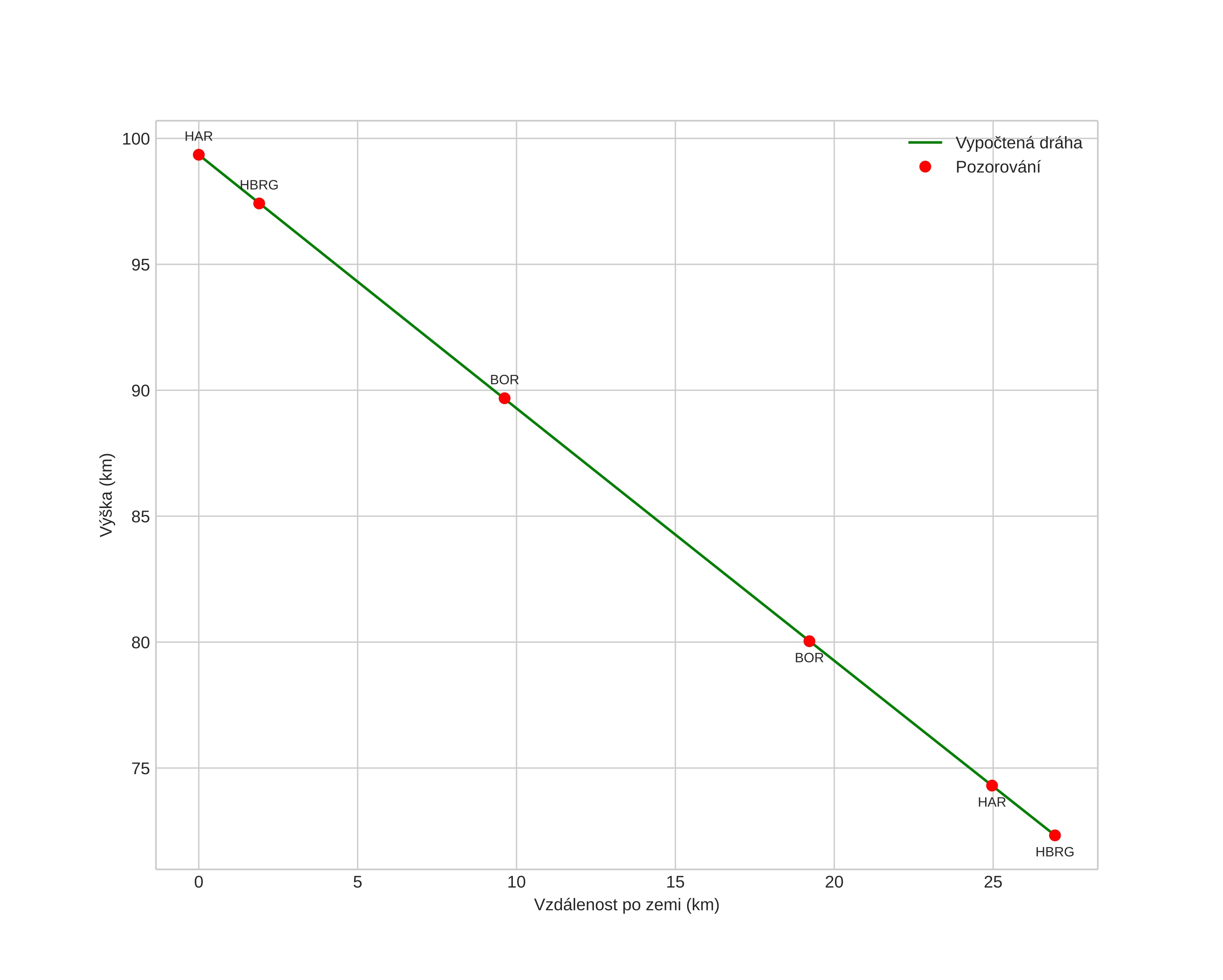
height profile
Atmosférická dráha meteoru:
Počáteční výška: 104,2 km
Konečná výška: 72,9 km
Počáteční poloha: 59,186N 12,672E
Konečná poloha: 59,039N 12,200E
Směr: 239,0°
Sklon: 44,8°
VstupnĂ­ rychlost: 64,1 km/s
Rektascenze radiantu: 07:42 (115,6°)
Deklinace radiantu: 52,3°
MeteorickĂ˝ roj: sporadickĂ˝
Elementy dráhy meteoroidu:
Vzdálenost v periheliu: 0,699 AU
Excentricita: 1,146
Sklon dráhy: 120,0°
Délka vzestupného uzlu: 224,7°
Argument perihelia: 243,4°
Střední anomálie: -3,1°
Epocha: 2020 NOV 06 22:03:48
orbit plot

NeinteraktivnĂ­ graf | InteraktivnĂ­ graf

position vs time
speed and acceleration