🇳🇴 🇬🇧 🇩🇪 🇨🇿 🇫🇮

Meteor, poloha: Kyrksæterøra 2020-11-06 23:16:37 UTC

Soubor KML  |  InteraktivnĂ­ mapa

Mapa zobrazuje dráhy meteoru. Světlejší čáry ukazují směry od pozorovacích stanic při objevení se meteoru a tmavší čáry, kde byl naposledy viděn. Modrá šipka značí viditelnou dráhu meteoru.

static map
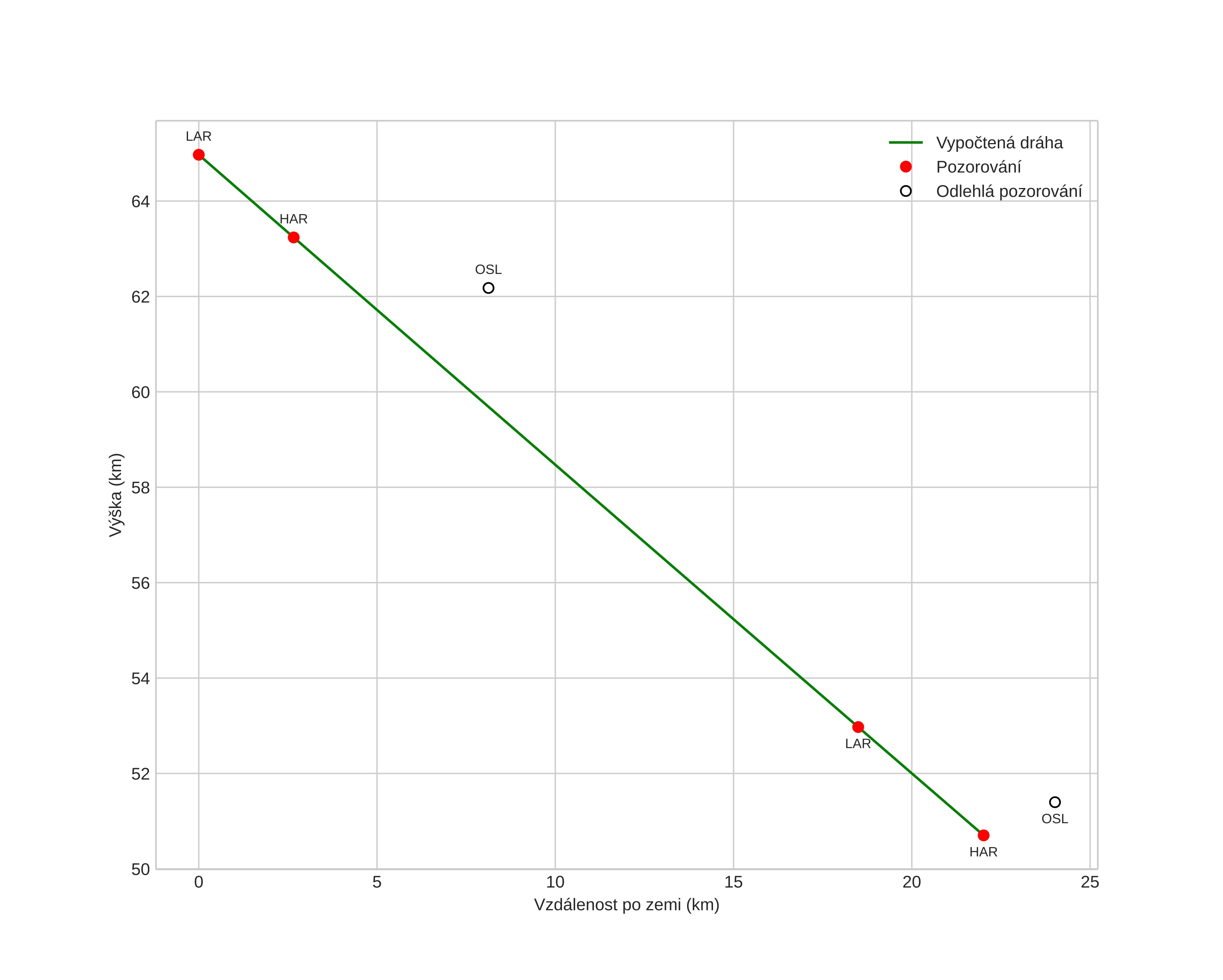
height profile
Atmosférická dráha meteoru:
Počáteční výška: 74,3 km
Konečná výška: 76,6 km
Počáteční poloha: 62,464N 8,900E
Konečná poloha: 63,329N 9,124E
Směr: 6,6°
Sklon: -1,4°
VstupnĂ­ rychlost: 37,5 km/s
Rektascenze radiantu: 02:25 (36,3°)
Deklinace radiantu: -31,4°
MeteorickĂ˝ roj: sporadickĂ˝
Elementy dráhy meteoroidu:
Vzdálenost v periheliu: 0,834 AU
Excentricita: 2,007
Sklon dráhy: 30,8°
Délka vzestupného uzlu: 44,7°
Argument perihelia: 40,3°
Střední anomálie: -26,4°
Epocha: 2020 NOV 06 23:16:37
orbit plot

NeinteraktivnĂ­ graf | InteraktivnĂ­ graf

position vs time
speed and acceleration