🇳🇴 🇬🇧 🇩🇪 🇨🇿 🇫🇮

Meteor, poloha: Fredrikstad 2020-11-07 00:19:38 UTC

Soubor KML  |  InteraktivnĂ­ mapa

Mapa zobrazuje dráhy meteoru. Světlejší čáry ukazují směry od pozorovacích stanic při objevení se meteoru a tmavší čáry, kde byl naposledy viděn. Modrá šipka značí viditelnou dráhu meteoru.

static map
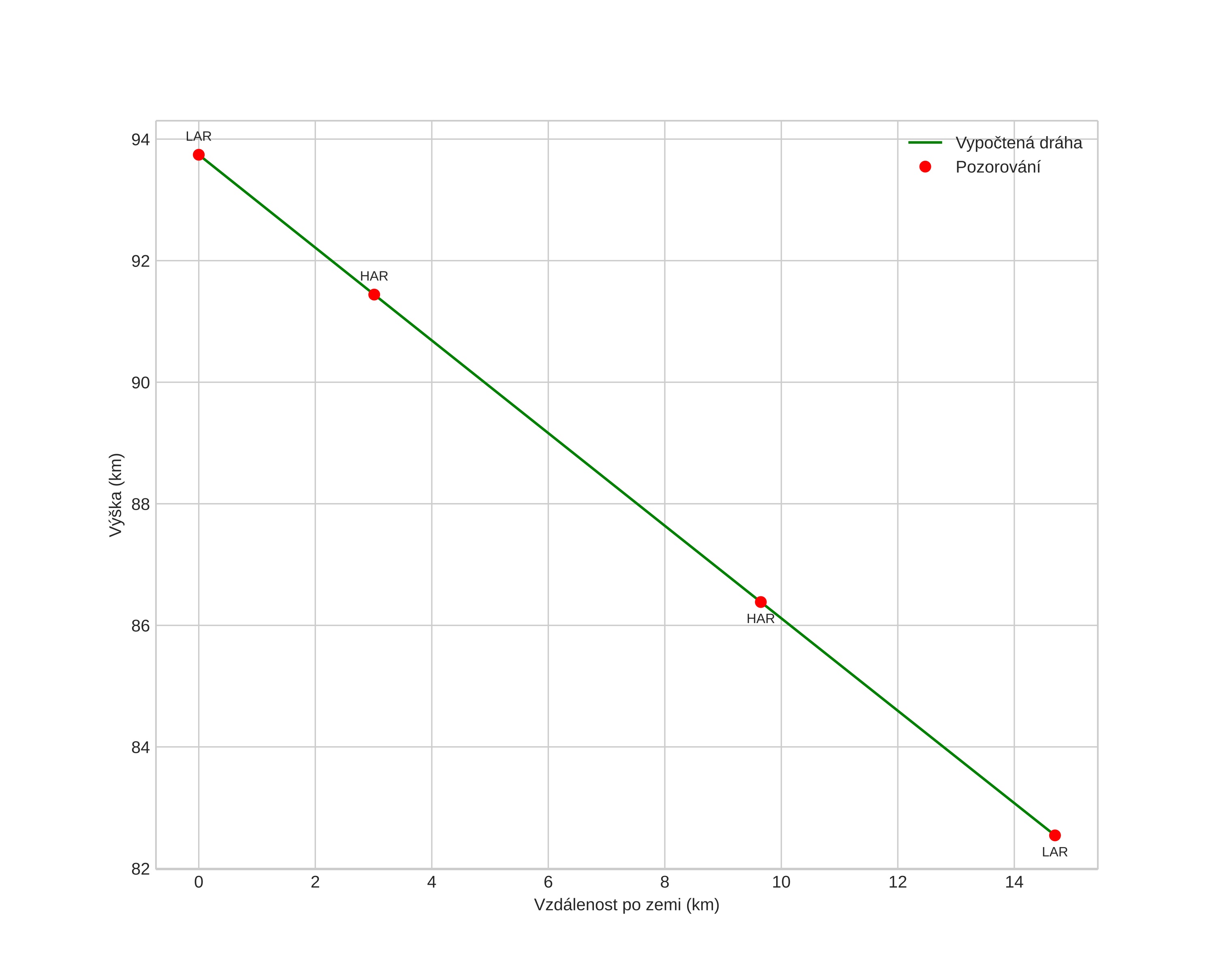
height profile
Atmosférická dráha meteoru:
Počáteční výška: 94,8 km
Konečná výška: 84,4 km
Počáteční poloha: 59,291N 10,940E
Konečná poloha: 59,182N 11,043E
Směr: 154,0°
Sklon: 37,8°
VstupnĂ­ rychlost: 24,0 km/s
Rektascenze radiantu: 19:17 (289,3°)
Deklinace radiantu: 59,5°
MeteorickĂ˝ roj: sporadickĂ˝
Elementy dráhy meteoroidu:
Vzdálenost v periheliu: 0,989 AU
Excentricita: 0,792
Sklon dráhy: 31,7°
Délka vzestupného uzlu: 224,8°
Argument perihelia: 184,9°
Střední anomálie: 359,7°
Epocha: 2020 NOV 07 00:19:38
orbit plot

NeinteraktivnĂ­ graf | InteraktivnĂ­ graf

position vs time
speed and acceleration