🇳🇴 🇬🇧 🇩🇪 🇨🇿 🇫🇮

Meteor, poloha: Eidfjord 2020-11-07 03:54:11 UTC

Soubor KML  |  InteraktivnĂ­ mapa

Mapa zobrazuje dráhy meteoru. Světlejší čáry ukazují směry od pozorovacích stanic při objevení se meteoru a tmavší čáry, kde byl naposledy viděn. Modrá šipka značí viditelnou dráhu meteoru.

static map
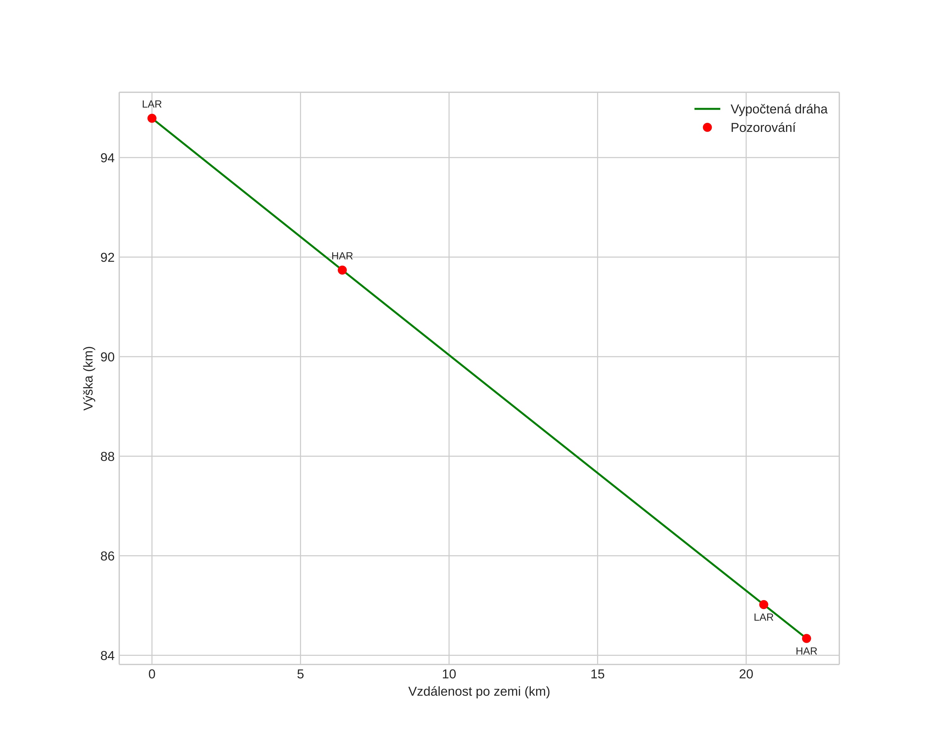
height profile
Atmosférická dráha meteoru:
Počáteční výška: 90,5 km
Konečná výška: 82,7 km
Počáteční poloha: 60,382N 7,095E
Konečná poloha: 60,221N 7,047E
Směr: 188,4°
Sklon: 23,3°
VstupnĂ­ rychlost: 18,5 km/s
Rektascenze radiantu: 18:47 (282,0°)
Deklinace radiantu: 44,3°
MeteorickĂ˝ roj: sporadickĂ˝
Elementy dráhy meteoroidu:
Vzdálenost v periheliu: 0,988 AU
Excentricita: 0,613
Sklon dráhy: 21,0°
Délka vzestupného uzlu: 224,9°
Argument perihelia: 172,7°
Střední anomálie: 1,4°
Epocha: 2020 NOV 07 03:54:11
orbit plot

NeinteraktivnĂ­ graf | InteraktivnĂ­ graf

position vs time
speed and acceleration