🇳🇴 🇬🇧 🇩🇪 🇨🇿 🇫🇮

Meteor, poloha: Voss 2020-11-09 02:35:26 UTC

Soubor KML  |  InteraktivnĂ­ mapa

Mapa zobrazuje dráhy meteoru. Světlejší čáry ukazují směry od pozorovacích stanic při objevení se meteoru a tmavší čáry, kde byl naposledy viděn. Modrá šipka značí viditelnou dráhu meteoru.

static map
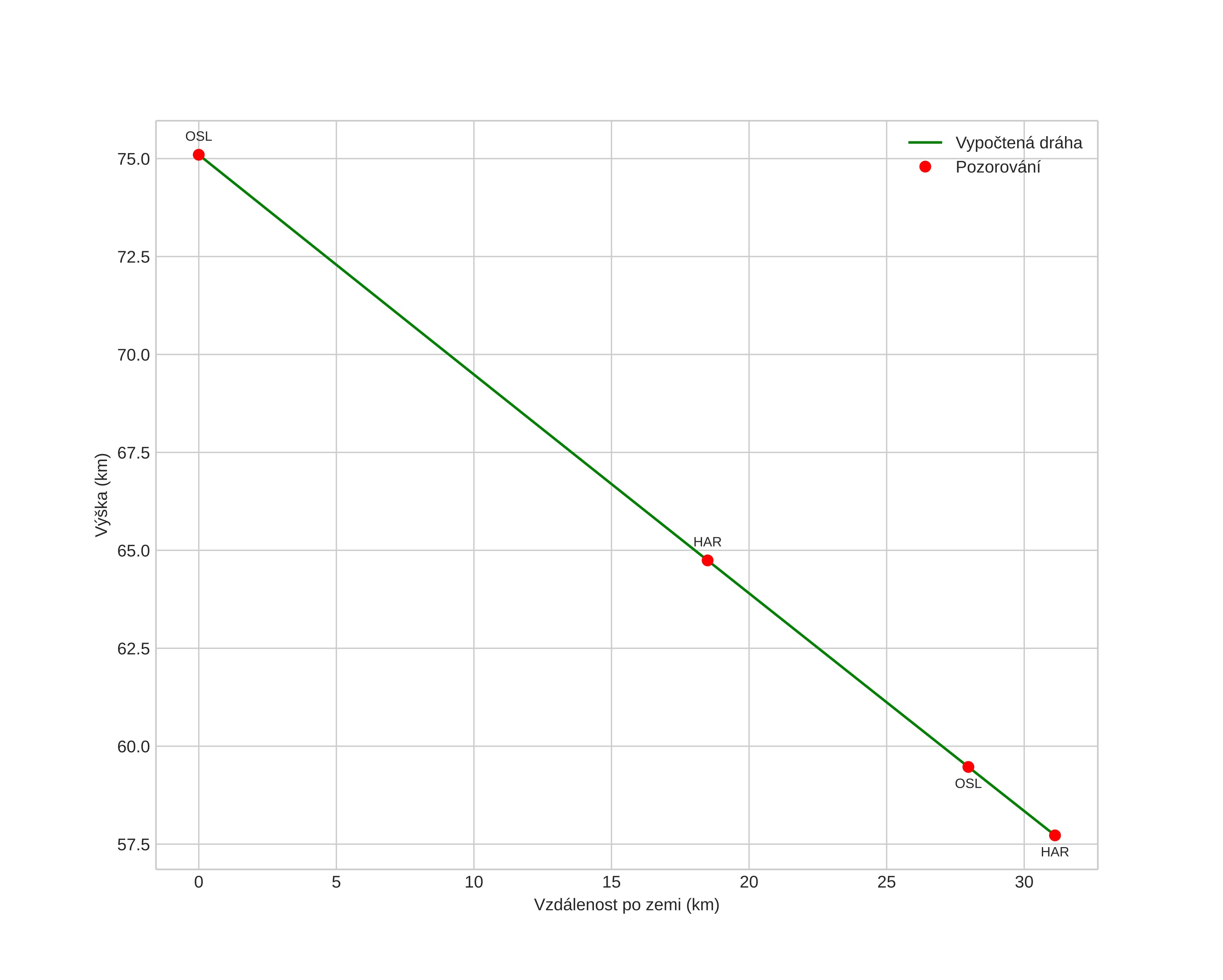
height profile
Atmosférická dráha meteoru:
Počáteční výška: 62,8 km
Konečná výška: 52,9 km
Počáteční poloha: 60,917N 6,730E
Konečná poloha: 60,784N 6,622E
Směr: 201,7°
Sklon: 31,9°
VstupnĂ­ rychlost: 22,9 km/s
Rektascenze radiantu: 16:05 (241,4°)
Deklinace radiantu: 54,0°
MeteorickĂ˝ roj: sporadickĂ˝
Elementy dráhy meteoroidu:
Vzdálenost v periheliu: 0,937 AU
Excentricita: 0,350
Sklon dráhy: 34,0°
Délka vzestupného uzlu: 226,9°
Argument perihelia: 142,4°
Střední anomálie: 17,6°
Epocha: 2020 NOV 09 02:35:26
orbit plot

NeinteraktivnĂ­ graf | InteraktivnĂ­ graf

position vs time
speed and acceleration