🇳🇴 🇬🇧 🇩🇪 🇨🇿 🇫🇮

Meteor, poloha: Bogen 2020-11-11 23:01:41 UTC

Soubor KML  |  InteraktivnĂ­ mapa

Mapa zobrazuje dráhy meteoru. Světlejší čáry ukazují směry od pozorovacích stanic při objevení se meteoru a tmavší čáry, kde byl naposledy viděn. Modrá šipka značí viditelnou dráhu meteoru.

static map
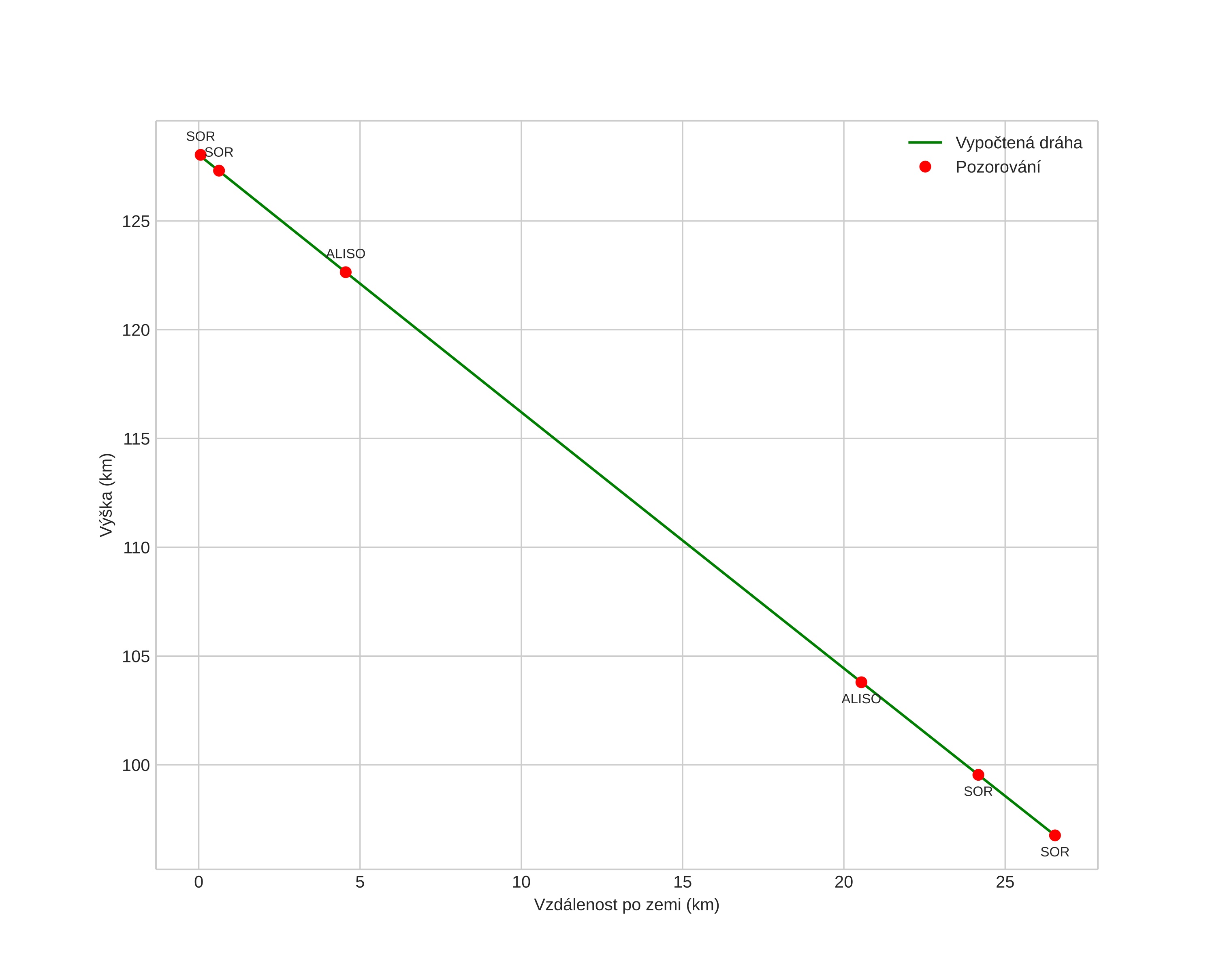
height profile
Atmosférická dráha meteoru:
Počáteční výška: 126,6 km
Konečná výška: 96,6 km
Počáteční poloha: 68,460N 16,972E
Konečná poloha: 68,246N 16,757E
Směr: 200,4°
Sklon: 49,8°
VstupnĂ­ rychlost: 58,1 km/s
Rektascenze radiantu: 13:02 (195,7°)
Deklinace radiantu: 68,7°
MeteorickĂ˝ roj: sporadickĂ˝
Elementy dráhy meteoroidu:
Vzdálenost v periheliu: 0,990 AU
Excentricita: 1,917
Sklon dráhy: 84,9°
Délka vzestupného uzlu: 229,7°
Argument perihelia: 179,5°
Střední anomálie: 0,3°
Epocha: 2020 NOV 11 23:01:41
orbit plot

NeinteraktivnĂ­ graf | InteraktivnĂ­ graf

position vs time
speed and acceleration