🇳🇴 🇬🇧 🇩🇪 🇨🇿 🇫🇮

Meteor, poloha: Storsteinnes 2020-11-15 00:29:38 UTC

Soubor KML  |  InteraktivnĂ­ mapa

Mapa zobrazuje dráhy meteoru. Světlejší čáry ukazují směry od pozorovacích stanic při objevení se meteoru a tmavší čáry, kde byl naposledy viděn. Modrá šipka značí viditelnou dráhu meteoru.

static map
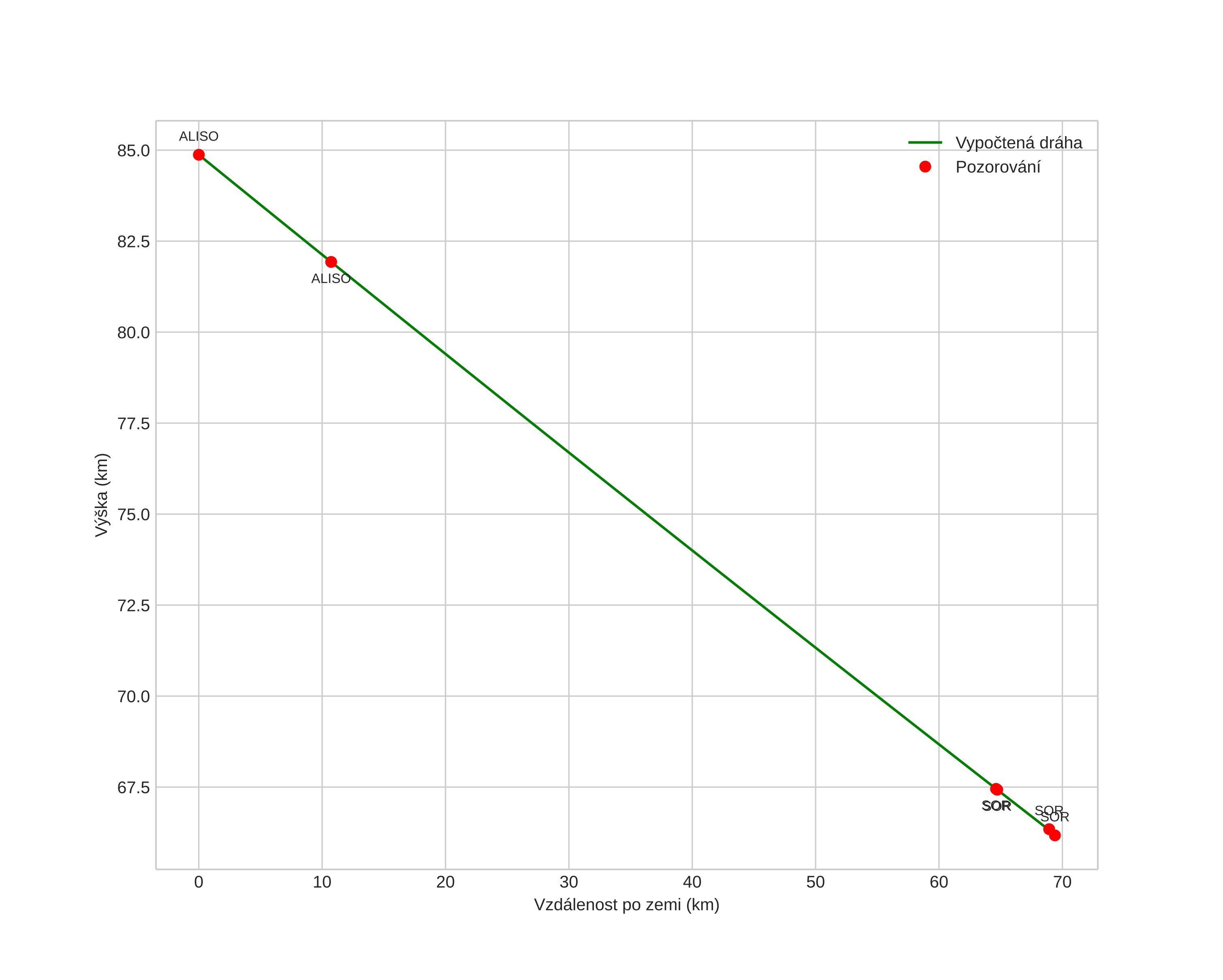
height profile
Atmosférická dráha meteoru:
Počáteční výška: 86,4 km
Konečná výška: 66,6 km
Počáteční poloha: 68,140N 19,866E
Konečná poloha: 68,691N 19,121E
Směr: 333,9°
Sklon: 16,1°
position vs time
speed and acceleration