🇳🇴 🇬🇧 🇩🇪 🇨🇿 🇫🇮

Meteor, poloha: Egersund 2020-11-16 03:13:31 UTC

Soubor KML  |  InteraktivnĂ­ mapa

Mapa zobrazuje dráhy meteoru. Světlejší čáry ukazují směry od pozorovacích stanic při objevení se meteoru a tmavší čáry, kde byl naposledy viděn. Modrá šipka značí viditelnou dráhu meteoru.

static map
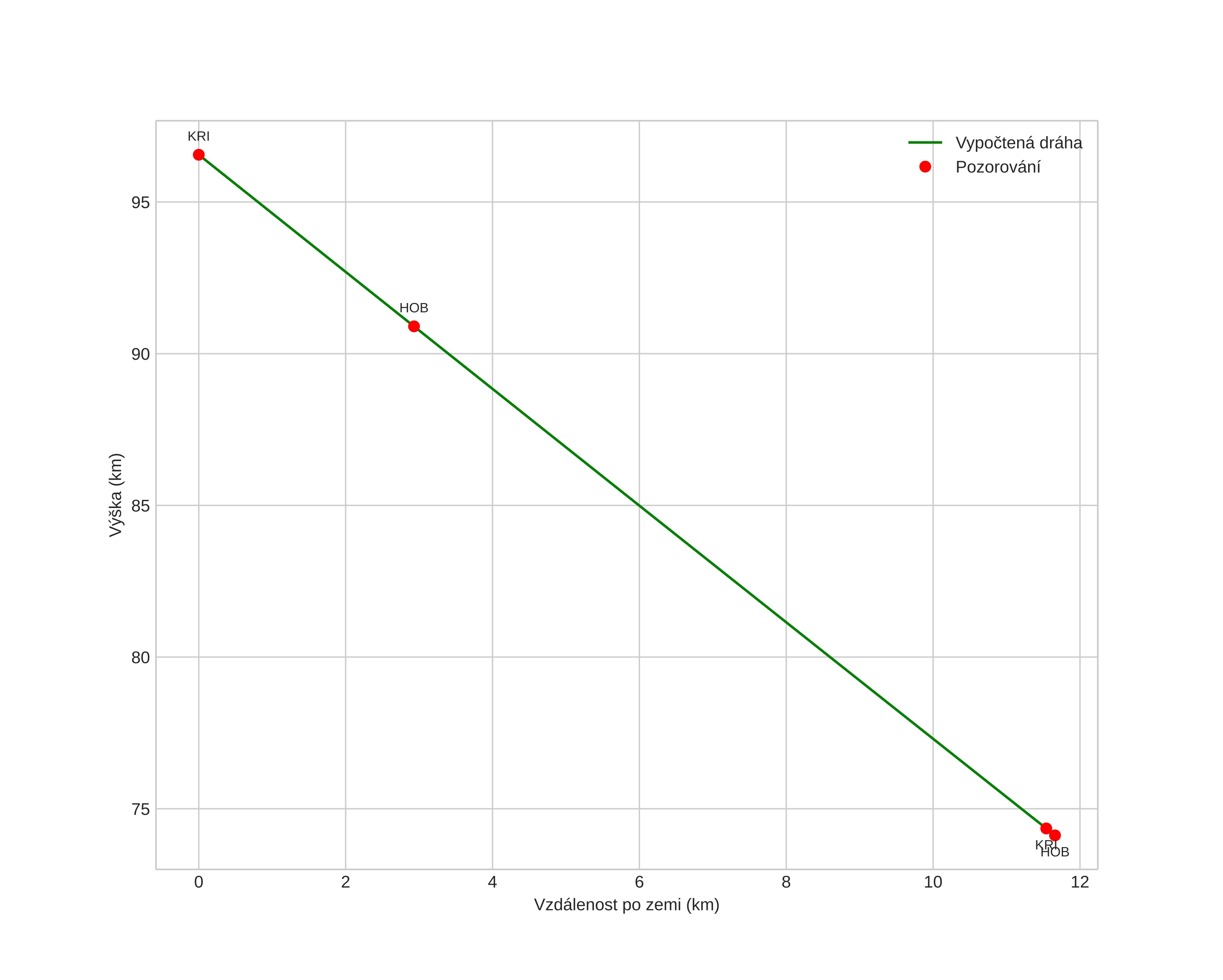
height profile
Atmosférická dráha meteoru:
Počáteční výška: 96,2 km
Konečná výška: 74,6 km
Počáteční poloha: 56,217N 4,882E
Konečná poloha: 56,225N 5,057E
Směr: 85,1°
Sklon: 63,3°
VstupnĂ­ rychlost: 40,1 km/s
Rektascenze radiantu: 04:29 (67,3°)
Deklinace radiantu: 45,5°
MeteorickĂ˝ roj: sporadickĂ˝
Elementy dráhy meteoroidu:
Vzdálenost v periheliu: 0,324 AU
Excentricita: 0,978
Sklon dráhy: 39,5°
Délka vzestupného uzlu: 233,9°
Argument perihelia: 291,1°
Střední anomálie: 359,4°
Epocha: 2020 NOV 16 03:13:31
orbit plot

NeinteraktivnĂ­ graf | InteraktivnĂ­ graf

position vs time
speed and acceleration