🇳🇴 🇬🇧 🇩🇪 🇨🇿 🇫🇮

Meteor, poloha: Grenaa 2020-11-19 23:51:47 UTC

Soubor KML  |  InteraktivnĂ­ mapa

Mapa zobrazuje dráhy meteoru. Světlejší čáry ukazují směry od pozorovacích stanic při objevení se meteoru a tmavší čáry, kde byl naposledy viděn. Modrá šipka značí viditelnou dráhu meteoru.

static map
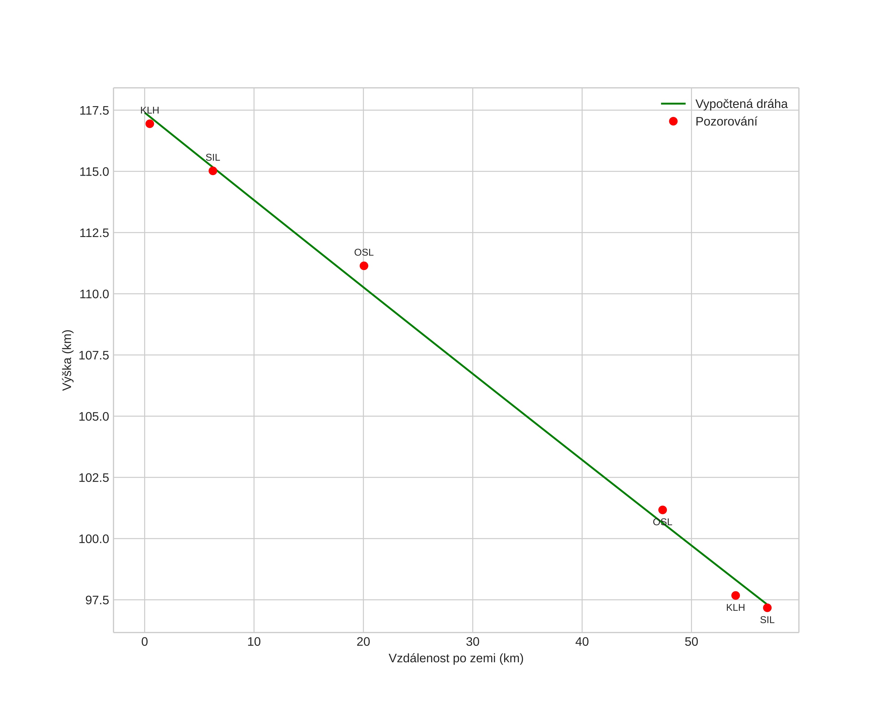
height profile
Atmosférická dráha meteoru:
Počáteční výška: 117,4 km
Konečná výška: 97,3 km
Počáteční poloha: 56,668N 12,166E
Konečná poloha: 56,585N 11,247E
Směr: 261,0°
Sklon: 19,4°
VstupnĂ­ rychlost: 68,8 km/s
Rektascenze radiantu: 10:23 (155,8°)
Deklinace radiantu: 20,7°
MeteorickĂ˝ roj: Leonidy
Elementy dráhy meteoroidu:
Vzdálenost v periheliu: 0,984 AU
Excentricita: 0,634
Sklon dráhy: 162,3°
Délka vzestupného uzlu: 237,8°
Argument perihelia: 171,7°
Střední anomálie: 1,4°
Epocha: 2020 NOV 19 23:51:47
orbit plot

NeinteraktivnĂ­ graf | InteraktivnĂ­ graf

position vs time
speed and acceleration