🇳🇴 🇬🇧 🇩🇪 🇨🇿 🇫🇮

Meteor, poloha: Kviteseid 2020-11-21 18:37:58 UTC

Soubor KML  |  InteraktivnĂ­ mapa

Mapa zobrazuje dráhy meteoru. Světlejší čáry ukazují směry od pozorovacích stanic při objevení se meteoru a tmavší čáry, kde byl naposledy viděn. Modrá šipka značí viditelnou dráhu meteoru.

static map
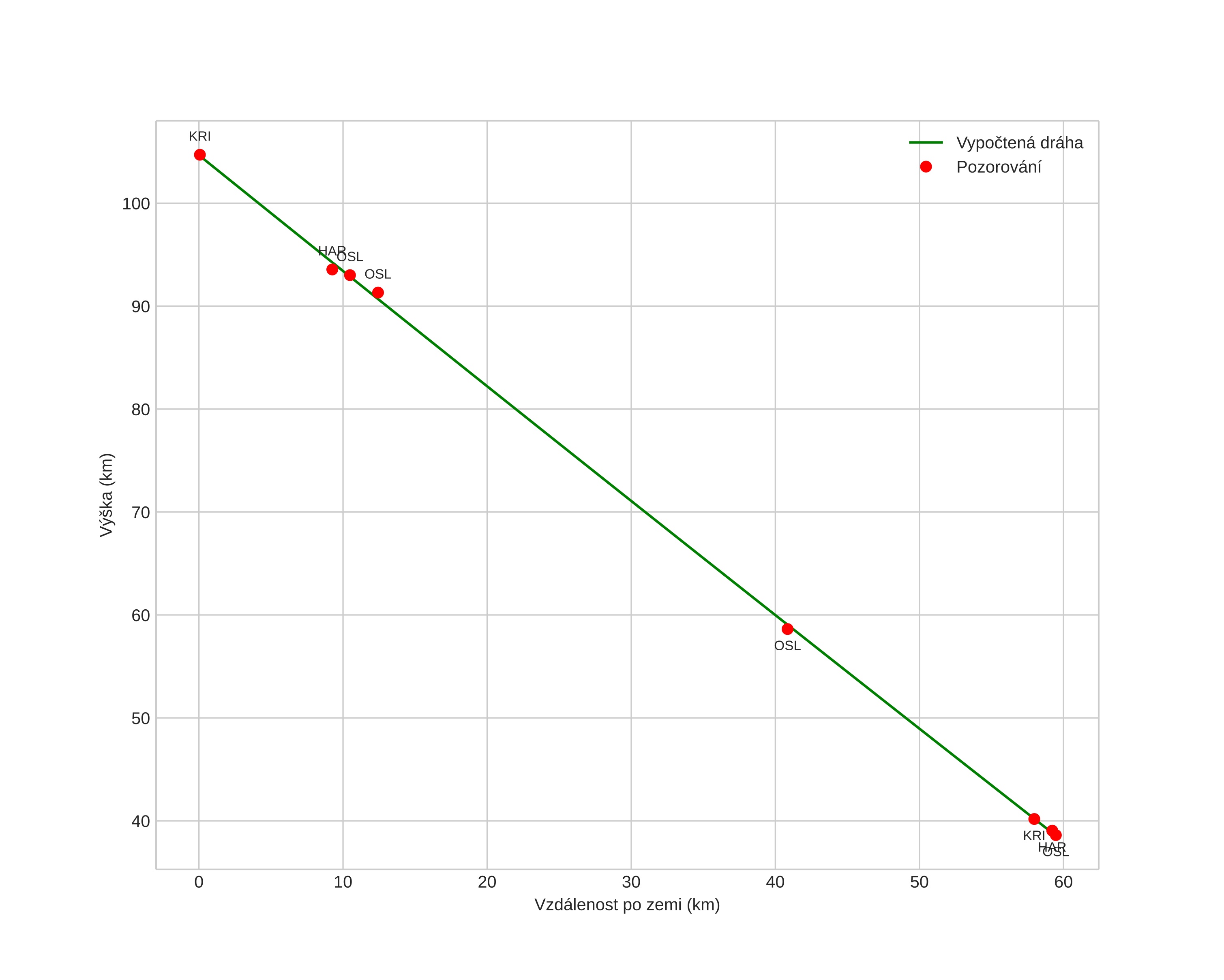
height profile
Atmosférická dráha meteoru:
Počáteční výška: 99,5 km
Konečná výška: 38,9 km
Počáteční poloha: 59,666N 8,017E
Konečná poloha: 59,213N 8,365E
Směr: 158,5°
Sklon: 48,3°
VstupnĂ­ rychlost: 35,0 km/s
Rektascenze radiantu: 14:57 (224,5°)
Deklinace radiantu: 72,0°
MeteorickĂ˝ roj: sporadickĂ˝
Elementy dráhy meteoroidu:
Vzdálenost v periheliu: 0,985 AU
Excentricita: 0,618
Sklon dráhy: 56,8°
Délka vzestupného uzlu: 239,6°
Argument perihelia: 187,2°
Střední anomálie: 358,7°
Epocha: 2020 NOV 21 18:37:58
orbit plot

NeinteraktivnĂ­ graf | InteraktivnĂ­ graf

position vs time
speed and acceleration