🇳🇴 🇬🇧 🇩🇪 🇨🇿 🇫🇮

Meteor, poloha: Brumunddal 2020-11-22 18:28:51 UTC

Soubor KML  |  InteraktivnĂ­ mapa

Mapa zobrazuje dráhy meteoru. Světlejší čáry ukazují směry od pozorovacích stanic při objevení se meteoru a tmavší čáry, kde byl naposledy viděn. Modrá šipka značí viditelnou dráhu meteoru.

static map
height profile
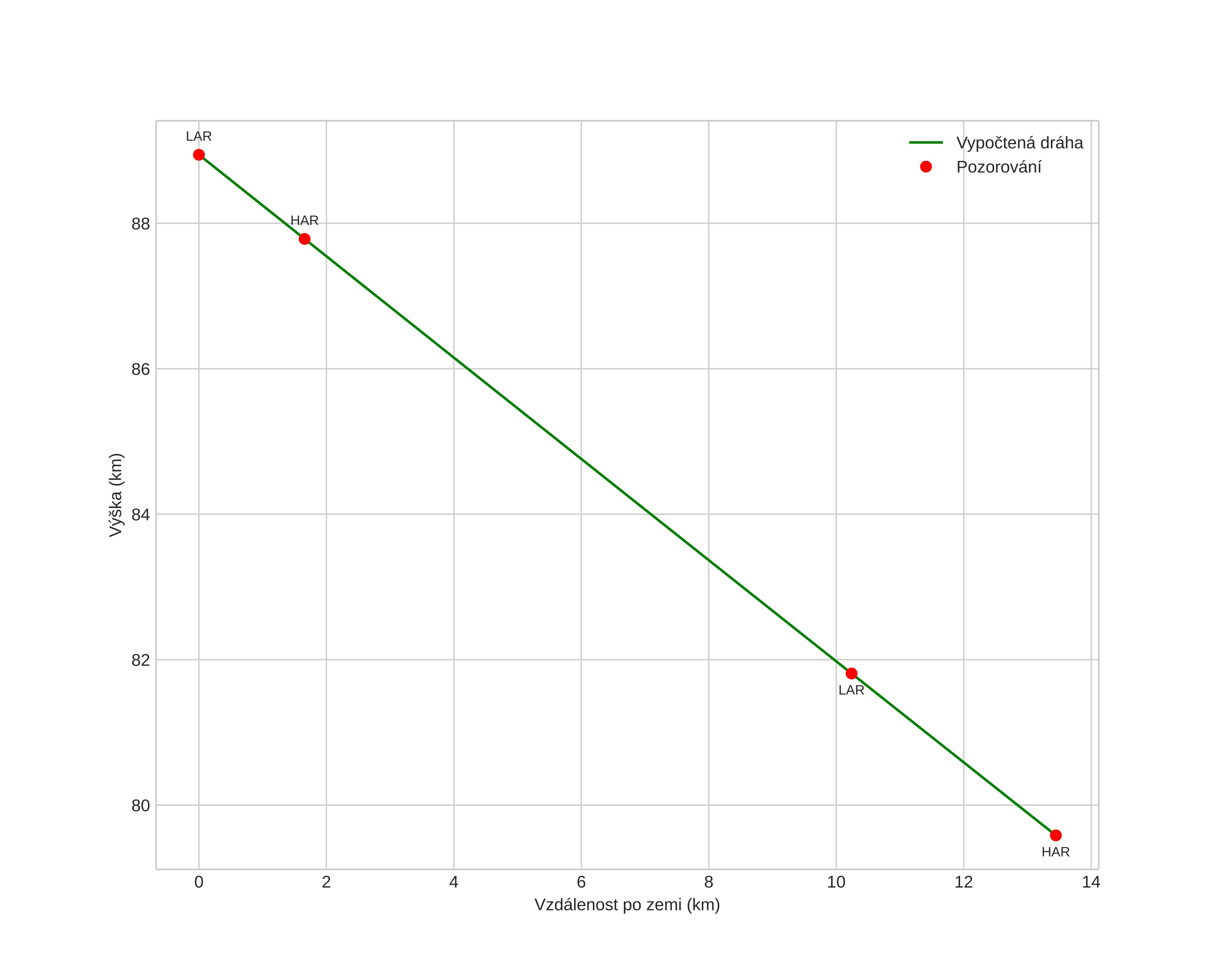
Atmosférická dráha meteoru:
Počáteční výška: 73,8 km
Konečná výška: 58,7 km
Počáteční poloha: 61,041N 10,641E
Konečná poloha: 60,916N 10,932E
Směr: 131,5°
Sklon: 35,7°
VstupnĂ­ rychlost: 25,4 km/s
Rektascenze radiantu: 16:01 (240,4°)
Deklinace radiantu: 47,5°
MeteorickĂ˝ roj: sporadickĂ˝
Elementy dráhy meteoroidu:
Vzdálenost v periheliu: 0,884 AU
Excentricita: 0,402
Sklon dráhy: 38,6°
Délka vzestupného uzlu: 240,6°
Argument perihelia: 129,3°
Střední anomálie: 21,4°
Epocha: 2020 NOV 22 18:28:51
orbit plot

NeinteraktivnĂ­ graf | InteraktivnĂ­ graf

position vs time
speed and acceleration