🇳🇴 🇬🇧 🇩🇪 🇨🇿 🇫🇮

Meteor, poloha: Kiruna 2020-11-24 05:21:53 UTC

Soubor KML  |  InteraktivnĂ­ mapa

Mapa zobrazuje dráhy meteoru. Světlejší čáry ukazují směry od pozorovacích stanic při objevení se meteoru a tmavší čáry, kde byl naposledy viděn. Modrá šipka značí viditelnou dráhu meteoru.

static map
height profile
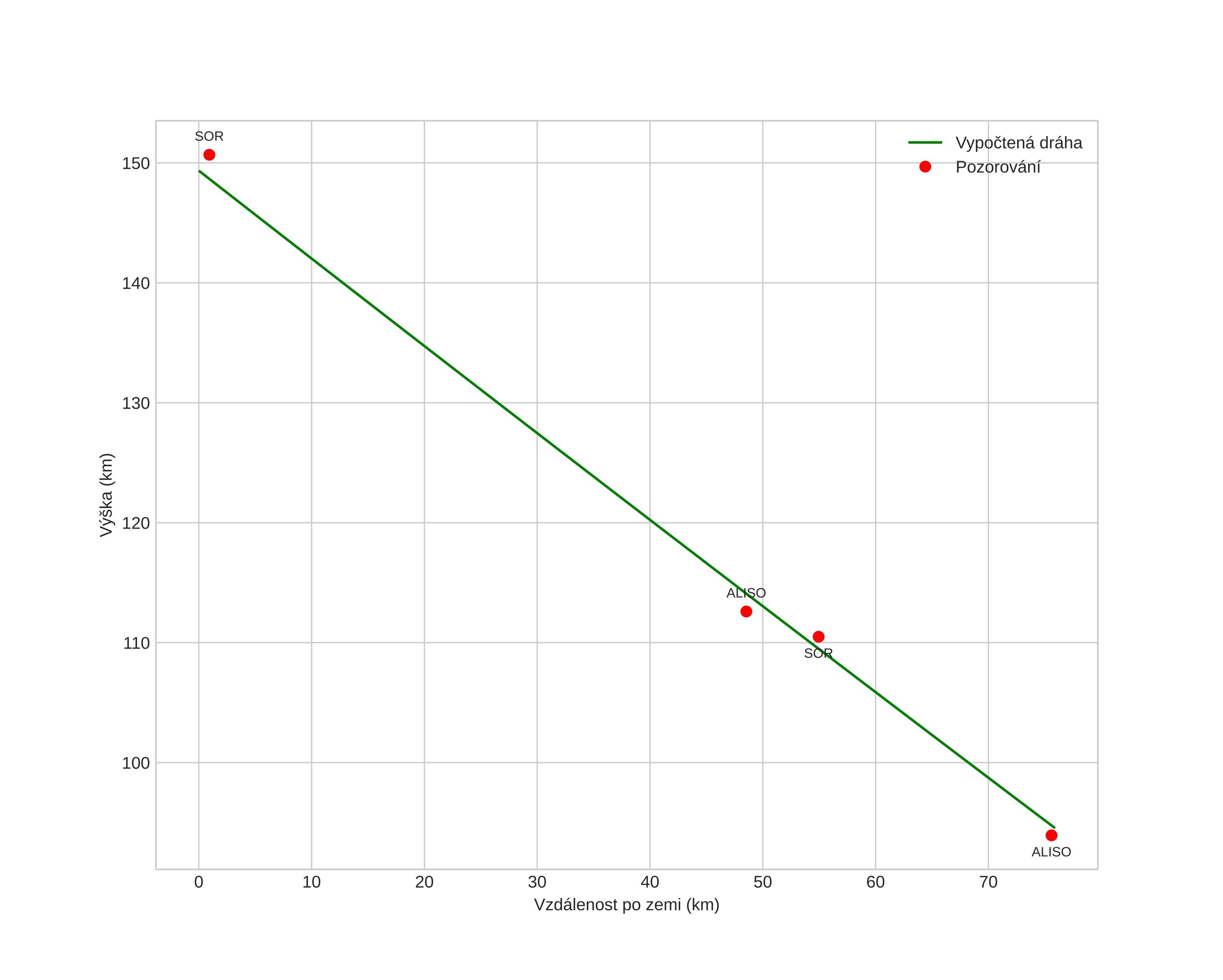
Atmosférická dráha meteoru:
Počáteční výška: 149,5 km
Konečná výška: 94,6 km
Počáteční poloha: 67,484N 20,757E
Konečná poloha: 68,019N 19,641E
Směr: 322,2°
Sklon: 35,9°
VstupnĂ­ rychlost: 132,1 km/s
Rektascenze radiantu: 13:02 (195,7°)
Deklinace radiantu: 17,2°
MeteorickĂ˝ roj: sporadickĂ˝
Elementy dráhy meteoroidu:
Vzdálenost v periheliu: 0,744 AU
Excentricita: 9,689
Sklon dráhy: 144,6°
Délka vzestupného uzlu: 242,1°
Argument perihelia: 136,7°
Střední anomálie: 412,5°
Epocha: 2020 NOV 24 05:21:53
orbit plot

NeinteraktivnĂ­ graf | InteraktivnĂ­ graf

position vs time
speed and acceleration