🇳🇴 🇬🇧 🇩🇪 🇨🇿 🇫🇮

Meteor, poloha: Grenaa 2020-11-26 21:28:02 UTC

Soubor KML  |  InteraktivnĂ­ mapa

Mapa zobrazuje dráhy meteoru. Světlejší čáry ukazují směry od pozorovacích stanic při objevení se meteoru a tmavší čáry, kde byl naposledy viděn. Modrá šipka značí viditelnou dráhu meteoru.

static map
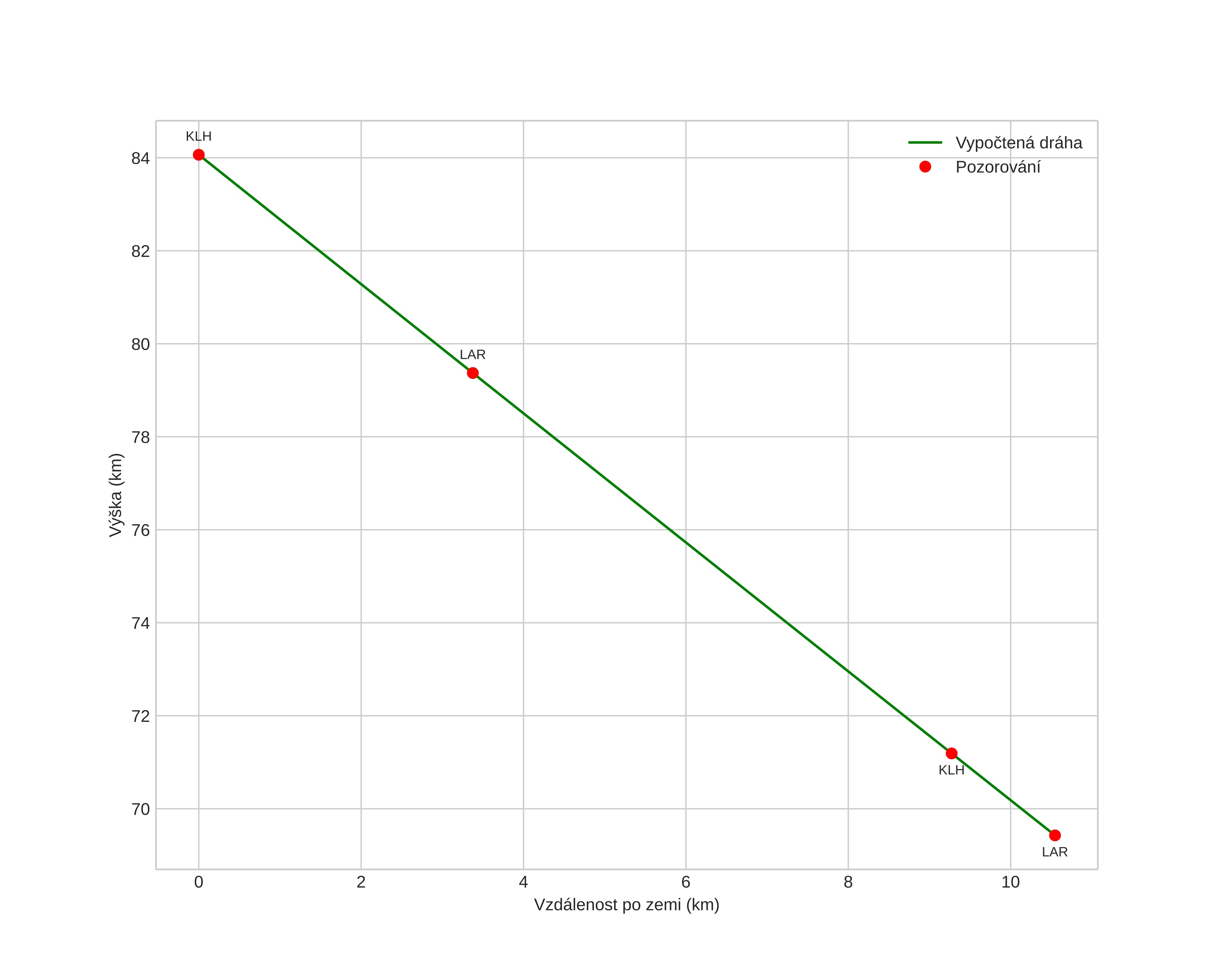
height profile
Atmosférická dráha meteoru:
Počáteční výška: 82,7 km
Konečná výška: 69,5 km
Počáteční poloha: 56,706N 11,111E
Konečná poloha: 56,628N 11,113E
Směr: 179,1°
Sklon: 56,9°
VstupnĂ­ rychlost: 32,2 km/s
Rektascenze radiantu: 18:22 (275,7°)
Deklinace radiantu: 88,7°
MeteorickĂ˝ roj: sporadickĂ˝
Elementy dráhy meteoroidu:
Vzdálenost v periheliu: 0,901 AU
Excentricita: 0,739
Sklon dráhy: 47,8°
Délka vzestupného uzlu: 244,8°
Argument perihelia: 217,4°
Střední anomálie: 356,0°
Epocha: 2020 NOV 26 21:28:02
orbit plot

NeinteraktivnĂ­ graf | InteraktivnĂ­ graf

position vs time
speed and acceleration