🇳🇴 🇬🇧 🇩🇪 🇨🇿 🇫🇮

Meteor, poloha: Hanstholm 2020-11-27 02:38:00 UTC

Soubor KML  |  InteraktivnĂ­ mapa

Mapa zobrazuje dráhy meteoru. Světlejší čáry ukazují směry od pozorovacích stanic při objevení se meteoru a tmavší čáry, kde byl naposledy viděn. Modrá šipka značí viditelnou dráhu meteoru.

static map
height profile
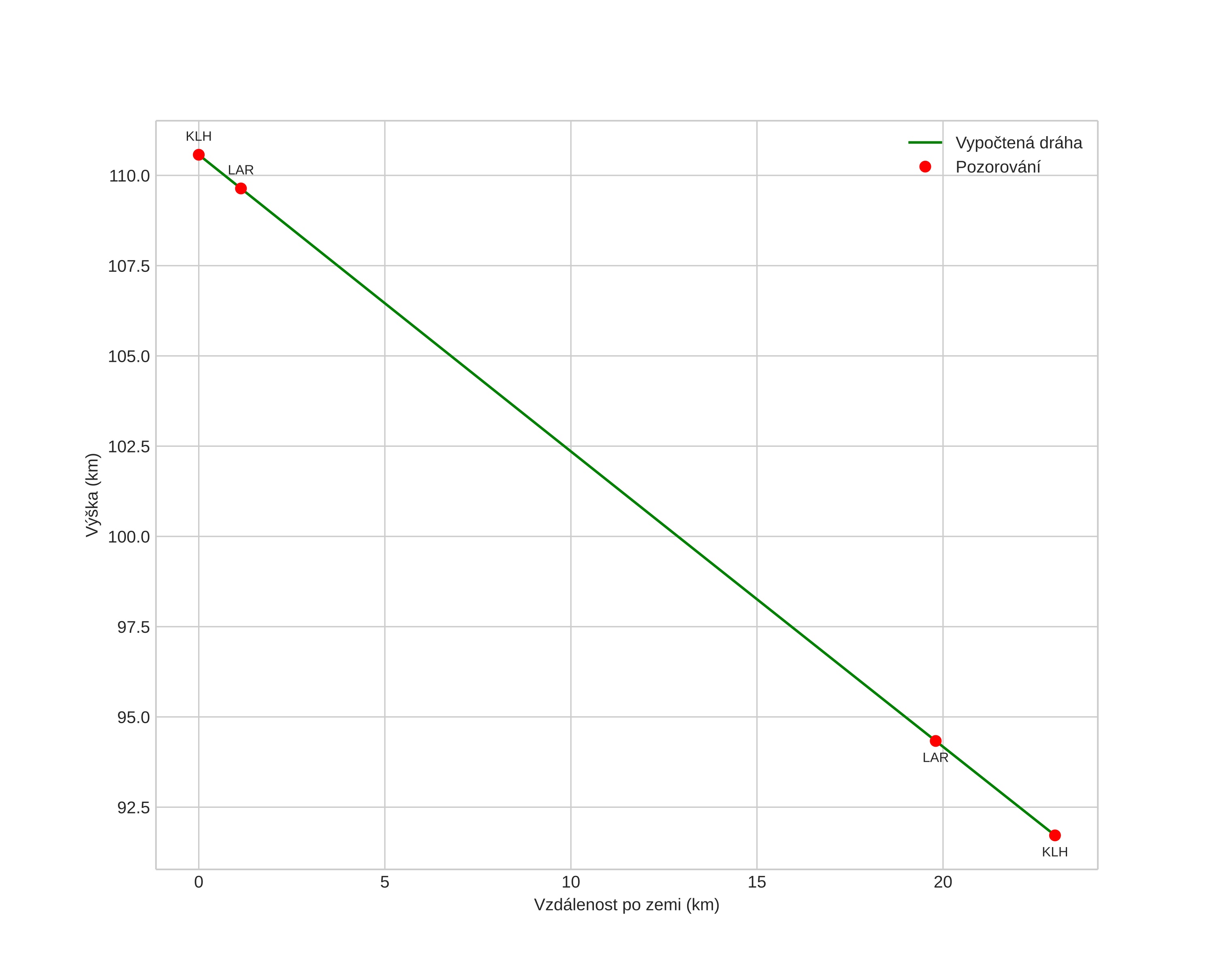
Atmosférická dráha meteoru:
Počáteční výška: 109,1 km
Konečná výška: 91,1 km
Počáteční poloha: 57,115N 8,540E
Konečná poloha: 57,320N 8,513E
Směr: 355,8°
Sklon: 38,3°
VstupnĂ­ rychlost: 60,8 km/s
Rektascenze radiantu: 07:48 (117,2°)
Deklinace radiantu: 5,0°
MeteorickĂ˝ roj: sporadickĂ˝
Elementy dráhy meteoroidu:
Vzdálenost v periheliu: 0,288 AU
Excentricita: 0,976
Sklon dráhy: 134,3°
Délka vzestupného uzlu: 65,0°
Argument perihelia: 115,7°
Střední anomálie: 359,1°
Epocha: 2020 NOV 27 02:38:00
orbit plot

NeinteraktivnĂ­ graf | InteraktivnĂ­ graf

position vs time
speed and acceleration