🇳🇴 🇬🇧 🇩🇪 🇨🇿 🇫🇮

Meteor, poloha: Vanse 2020-11-27 03:12:45 UTC

Soubor KML  |  InteraktivnĂ­ mapa

Mapa zobrazuje dráhy meteoru. Světlejší čáry ukazují směry od pozorovacích stanic při objevení se meteoru a tmavší čáry, kde byl naposledy viděn. Modrá šipka značí viditelnou dráhu meteoru.

static map
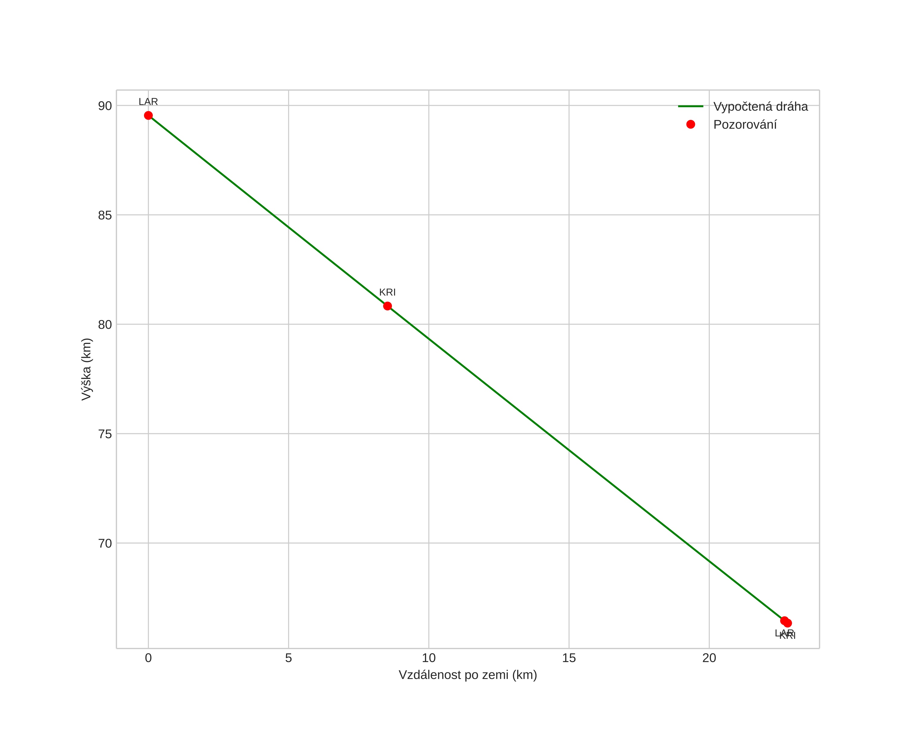
height profile
Atmosférická dráha meteoru:
Počáteční výška: 89,1 km
Konečná výška: 65,9 km
Počáteční poloha: 58,080N 6,293E
Konečná poloha: 58,157N 6,655E
Směr: 68,0°
Sklon: 45,3°
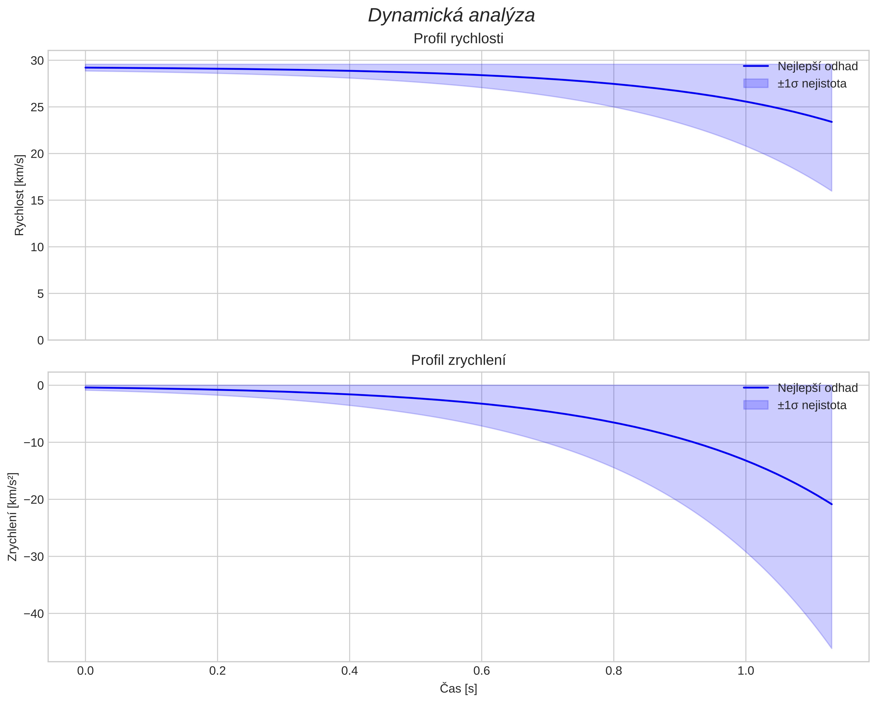
VstupnĂ­ rychlost: 29,4 km/s
Rektascenze radiantu: 04:47 (71,8°)
Deklinace radiantu: 25,9°
MeteorickĂ˝ roj: SevernĂ­ Tauridy
Elementy dráhy meteoroidu:
Vzdálenost v periheliu: 0,409 AU
Excentricita: 0,831
Sklon dráhy: 3,6°
Délka vzestupného uzlu: 245,0°
Argument perihelia: 286,9°
Střední anomálie: 348,8°
Epocha: 2020 NOV 27 03:12:45
orbit plot

NeinteraktivnĂ­ graf | InteraktivnĂ­ graf

position vs time
speed and acceleration