🇳🇴 🇬🇧 🇩🇪 🇨🇿 🇫🇮

Meteor, poloha: Hovden 2020-11-27 03:16:09 UTC

Soubor KML  |  InteraktivnĂ­ mapa

Mapa zobrazuje dráhy meteoru. Světlejší čáry ukazují směry od pozorovacích stanic při objevení se meteoru a tmavší čáry, kde byl naposledy viděn. Modrá šipka značí viditelnou dráhu meteoru.

static map
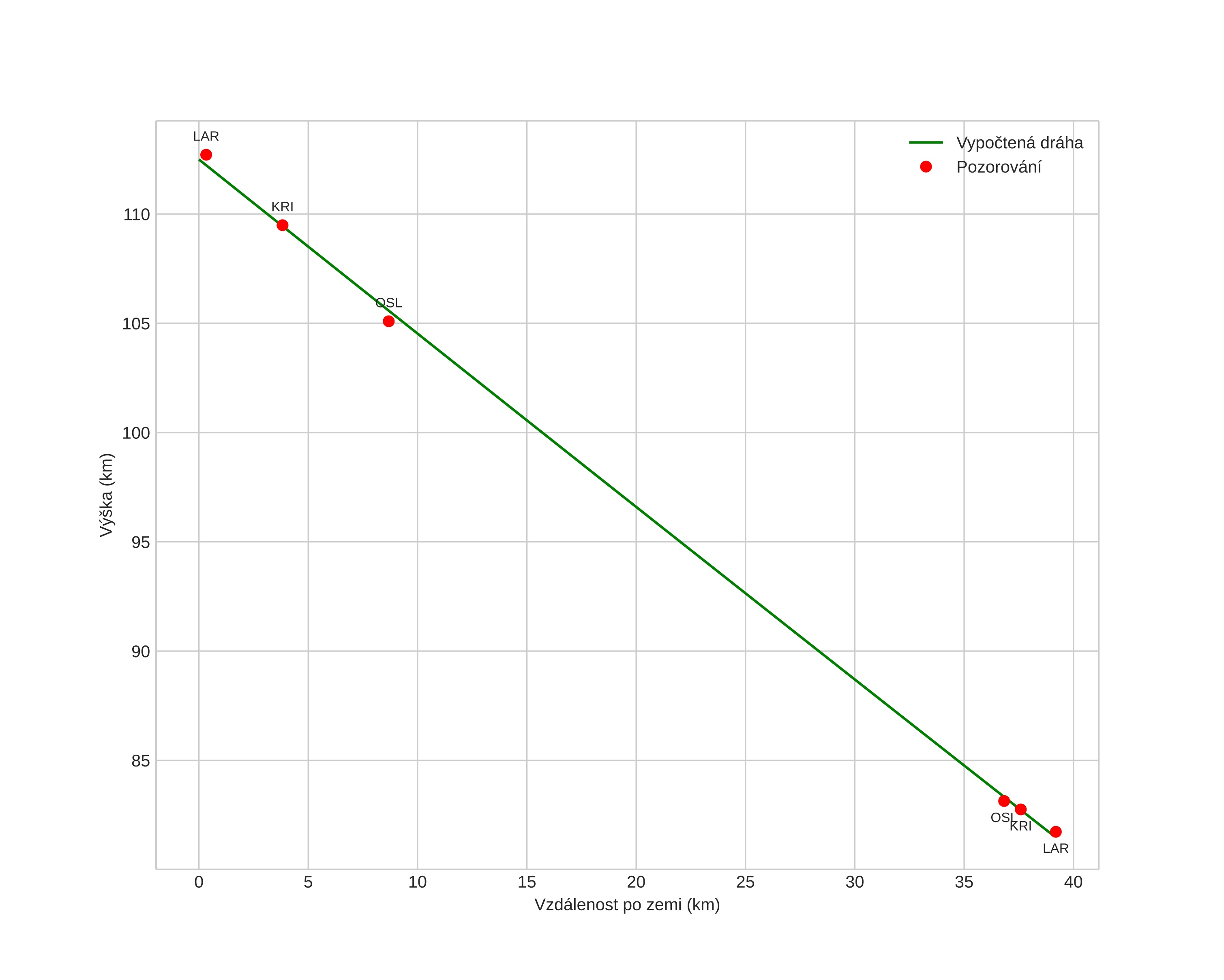
height profile
Atmosférická dráha meteoru:
Počáteční výška: 114,1 km
Konečná výška: 82,8 km
Počáteční poloha: 59,032N 7,360E
Konečná poloha: 59,320N 6,969E
Směr: 325,3°
Sklon: 38,8°
VstupnĂ­ rychlost: 71,1 km/s
Rektascenze radiantu: 09:57 (149,4°)
Deklinace radiantu: 11,7°
MeteorickĂ˝ roj: sporadickĂ˝
Elementy dráhy meteoroidu:
Vzdálenost v periheliu: 0,926 AU
Excentricita: 0,838
Sklon dráhy: 178,7°
Délka vzestupného uzlu: 64,9°
Argument perihelia: 30,0°
Střední anomálie: 358,5°
Epocha: 2020 NOV 27 03:16:09
orbit plot

NeinteraktivnĂ­ graf | InteraktivnĂ­ graf

position vs time
speed and acceleration