🇳🇴 🇬🇧 🇩🇪 🇨🇿 🇫🇮

Meteor, poloha: Hovden 2020-11-27 03:16:10 UTC

Soubor KML  |  InteraktivnĂ­ mapa

Mapa zobrazuje dráhy meteoru. Světlejší čáry ukazují směry od pozorovacích stanic při objevení se meteoru a tmavší čáry, kde byl naposledy viděn. Modrá šipka značí viditelnou dráhu meteoru.

static map
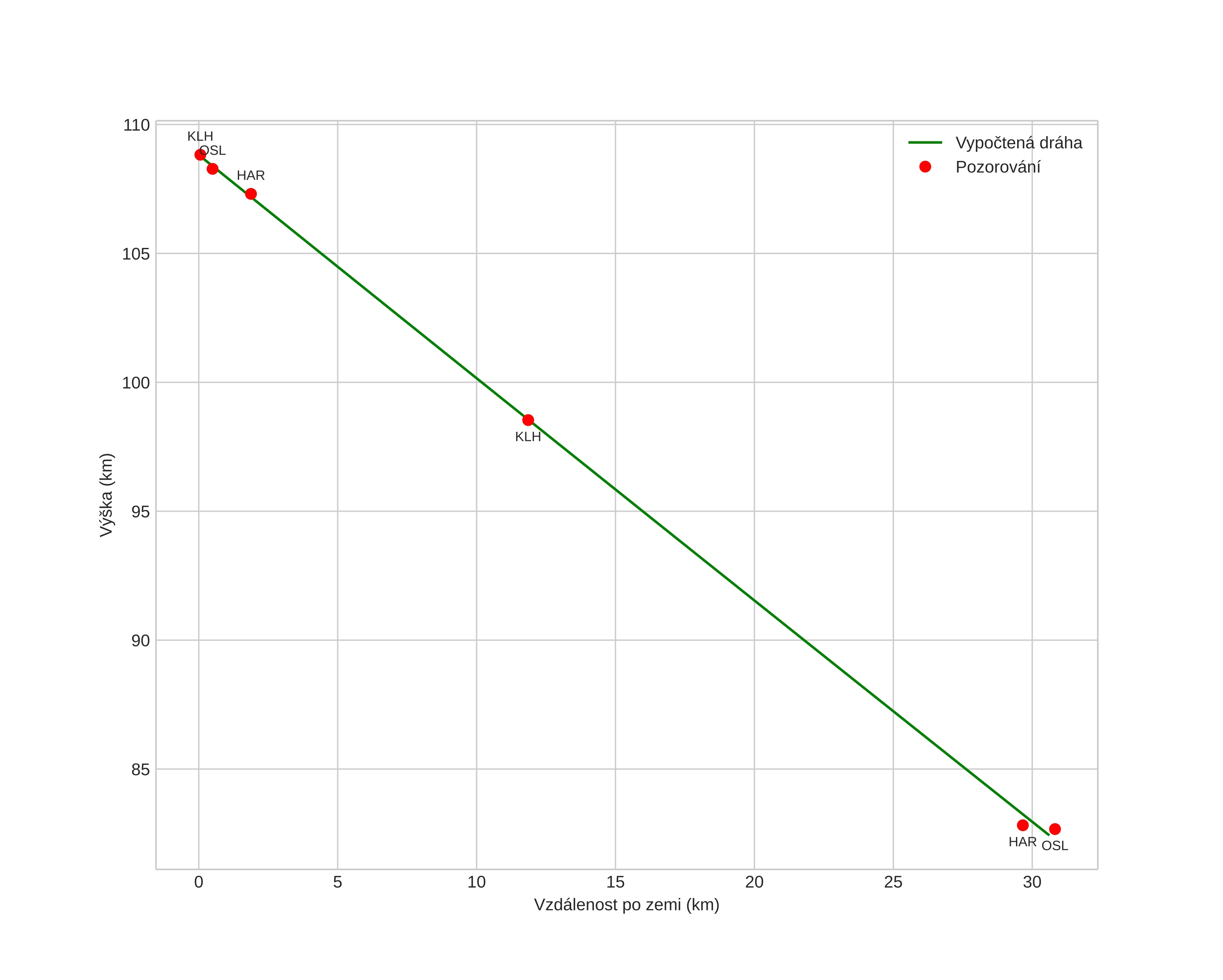
height profile
Atmosférická dráha meteoru:
Počáteční výška: 109,3 km
Konečná výška: 83,8 km
Počáteční poloha: 59,079N 7,268E
Konečná poloha: 59,316N 6,989E
Směr: 329,0°
Sklon: 39,7°
VstupnĂ­ rychlost: 67,0 km/s
Rektascenze radiantu: 09:44 (146,2°)
Deklinace radiantu: 11,7°
MeteorickĂ˝ roj: sporadickĂ˝
Elementy dráhy meteoroidu:
Vzdálenost v periheliu: 0,834 AU
Excentricita: 0,587
Sklon dráhy: 176,8°
Délka vzestupného uzlu: 65,0°
Argument perihelia: 54,5°
Střední anomálie: 347,1°
Epocha: 2020 NOV 27 03:16:10
orbit plot

NeinteraktivnĂ­ graf | InteraktivnĂ­ graf

position vs time
speed and acceleration